424B2 1 woaaglm1_prelim.htm 424B2 424B2

Filed Pursuant to Rule 424(b)(2)

Registration Statement No. 333-284538

 

The information in this preliminary pricing supplement is not complete and may be changed. This preliminary pricing supplement is not an offer to sell nor does it seek an offer to buy these securities in any jurisdiction where the offer or sale is not permitted.

 

Subject To Completion, dated February 23, 2026

Pricing Supplement No. [ ] dated [ ], 2026

(To WFS Product Supplement No. 9 dated January 20, 2026,

Prospectus Supplement dated February 14, 2025

and Prospectus dated February 14, 2025)

 

 

 

 

GS Finance Corp.

Medium-Term Notes, Series F

guaranteed by The Goldman Sachs Group, Inc.

Equity and Commodity ETF Linked Securities

 

Market Linked Securities—Auto-Callable with Contingent Coupon with Memory Feature and Contingent Downside

Principal at Risk Securities Linked to the Lowest Performing of the Common Stock of Microsoft Corporation, the Common Stock of Apple Inc. and the SPDR® Gold Trust due March 14, 2029

    Linked to the lowest performing of the common stock of Microsoft Corporation, the common stock of Apple Inc. and the SPDR® Gold Trust (each referred to as an “underlier”)

Unlike ordinary debt securities, the securities do not provide for fixed payments of interest, do not repay a fixed amount of principal at stated maturity and are subject to potential automatic call prior to stated maturity upon the terms described below. Whether the securities pay a contingent coupon, whether the securities are automatically called prior to stated maturity and, if they are not automatically called, whether you receive the face amount of your securities at stated maturity will depend, in each case, on the closing value of the lowest performing underlier on the relevant calculation day. The lowest performing underlier on any calculation day is the underlier that has the lowest closing value on that calculation day as a percentage of its starting value

Contingent Coupon.  The securities will pay a contingent coupon on a monthly basis until the earlier of stated maturity or automatic call if, and only if, the closing value of the lowest performing underlier on the calculation day for that month is greater than or equal to its coupon threshold value. If the closing value of the lowest performing underlier on a calculation day is less than its coupon threshold value, you will not receive any contingent coupon for the relevant month. However, if the closing value of the lowest performing underlier on one or more calculation days is less than its coupon threshold value and, on a subsequent calculation day, the closing value of the lowest performing underlier is greater than or equal to its coupon threshold value, the securities will pay the contingent coupon payment due for that subsequent calculation day plus all previously unpaid contingent coupon payments (without interest on amounts previously unpaid). If the closing value of the lowest performing underlier is less than its coupon threshold value on every calculation day, you will not receive any contingent coupons throughout the entire term of the securities. The coupon threshold value for each underlier is equal to 50% of its starting value. The contingent coupon will be determined on the pricing date and for each $1,000 face amount of your securities will be equal to at least $6.875 (equivalent to a contingent coupon rate of at least 8.25% per annum)

Automatic Call.  If the closing value of the lowest performing underlier on any of the monthly calculation days from September 2026 to February 2029, inclusive, is greater than or equal to its starting value, the securities will be automatically called for the face amount plus a final contingent coupon payment and any previously unpaid contingent coupon payments

Potential Loss of Principal.  If the securities are not automatically called prior to stated maturity, you will receive the face amount at stated maturity if, and only if, the closing value of the lowest performing underlier on the final calculation day is greater than or equal to its downside threshold value. If the closing value of the lowest performing underlier on the final calculation day is less than its downside threshold value, you will lose more than 50%, and possibly all, of the face amount of your securities. The downside threshold value for each underlier is equal to 50% of its starting value

If the securities are not automatically called prior to stated maturity, you will have full downside exposure to the lowest performing underlier from its starting value if its closing value on the final calculation day is less than its downside threshold value, but you will not participate in any appreciation of any underlier

   Your return on the securities will depend solely on the performance of the underlier that is the lowest performing underlier on each calculation day. You will not benefit in any way from the performance of the better performing underliers. Therefore, you will be adversely affected if any underlier performs poorly, even if the other underliers perform favorably

All payments on the securities are subject to credit risk, and you will have no ability to pursue any underlying stock issuer or the fund for payment; if GS Finance Corp., as issuer, and The Goldman Sachs Group, Inc., as guarantor, default on their obligations, you could lose some or all of your investment

No exchange listing; designed to be held to maturity

The estimated value of your securities at the time the terms of your securities are set on the pricing date is expected to be between $890 and $920 per $1,000 face amount. For a discussion of the estimated value and the price at which Goldman Sachs & Co. LLC (“GS&Co.”) would initially buy or sell your securities, if it makes a market in the securities, see page PS-12.

The securities have more complex features than conventional debt securities and involve risks not associated with conventional debt securities. You should read the disclosure herein to better understand the terms and risks of your investment, including the credit risk of GS Finance Corp. and The Goldman Sachs Group, Inc. See page PS-12.

 

Original Offering Price

 

Underwriting Discount(1)(2)

 

Proceeds to Issuer(1)

 Per Security

$1,000.00

up to $23.25

$976.75

 Total

 

 

 

(1) See “Supplemental Plan of Distribution; Conflicts of Interest” on page PS-36.

(2) In addition to the 2.325%, GS&Co. may pay to selected securities dealers a fee of up to 0.30% of the face amount in consideration for marketing and other services in connection with the distribution of the securities to other securities dealers.

Neither the Securities and Exchange Commission nor any other regulatory body has approved or disapproved of these securities or passed upon the accuracy or adequacy of this prospectus. Any representation to the contrary is a criminal offense. The securities are not bank deposits and are not insured by the Federal Deposit Insurance Corporation or any other governmental agency, nor are they obligations of, or guaranteed by, a bank.

Goldman Sachs & Co. LLC

 

Wells Fargo Securities

 

 


Market Linked Securities—Auto-Callable with Contingent Coupon with Memory Feature and Contingent Downside

Principal at Risk Securities Linked to the Lowest Performing of the Common Stock of Microsoft Corporation, the Common Stock of Apple Inc. and the SPDR® Gold Trust due March 14, 2029

 

Terms of the Securities

 

 

 

 

 

 

 

 

 

 

 

Company (Issuer):

GS Finance Corp.

Guarantor:

The Goldman Sachs Group, Inc.

Market Measures:

The common stock of Microsoft Corporation (current Bloomberg ticker: “MSFT UW”), the common stock of Apple Inc. (current Bloomberg ticker: “AAPL UW”) and the SPDR® Gold Trust (each referred to as an “underlier,” and collectively as the “underliers”). The common stock of Microsoft Corporation and the common stock of Apple Inc. are sometimes collectively referred to herein as the “underlying stocks” and individually as an “underlying stock” and the SPDR® Gold Trust is sometimes referred to herein as the “fund”.

Pricing Date*:

March 9, 2026.

Original Issue Date*:

March 12, 2026.

Original Offering Price:

$1,000 per security.

Face Amount:

$1,000 per security. References in this pricing supplement to a “security” are to a security with a face amount of $1,000.

Principal Amount:

Subject to redemption by the company as provided under “— Automatic Call” below, on the stated maturity date, in addition to the final contingent coupon payment, if any, the company will pay, for each $1,000 of the outstanding face amount, an amount, if any, in cash equal to the maturity payment amount.

Contingent Coupon Payment:

Subject to the automatic call, on each contingent coupon payment date, for each $1,000 of the outstanding face amount, you will receive a contingent coupon payment equal to at least $6.875 (equivalent to a contingent coupon rate of at least 8.25% per annum) (set on the pricing date) if, and only if, the closing value of the lowest performing underlier on the related calculation day is greater than or equal to its coupon threshold value. In addition, if the closing value of the lowest performing underlier on one or more calculation days is less than its coupon threshold value and, on a subsequent calculation day, the closing value of the lowest performing underlier is greater than or equal to its coupon threshold value, on the contingent coupon payment date related to such subsequent calculation day you will receive the contingent coupon payment due for that subsequent calculation day plus all previously unpaid contingent coupon payments (without interest on amounts previously unpaid).

The contingent coupon payment and any previously unpaid contingent coupon payments (if any) on any contingent coupon payment date will be paid to the person in whose name this security is registered as of the close of business on the regular record date for such contingent coupon payment date. If the contingent coupon payment (and any previously unpaid contingent coupon payments, if due) is due at maturity but on a day that is not a contingent coupon payment date, the contingent coupon payment (and any previously unpaid contingent coupon payments, if due) will be paid to the person entitled to receive the principal of this security.

If the closing value of the lowest performing underlier on any calculation day is less than its coupon threshold value, you will not receive any contingent coupon payment on the related contingent coupon payment date. If the closing value of the lowest performing underlier on a calculation day is less than its coupon threshold value and the closing value of the lowest performing underlier on each subsequent calculation day up to and including the final calculation day is less than its coupon threshold value, you will not receive any unpaid contingent coupon payment in respect of any of those calculation days. In addition, if the closing value of the lowest performing underlier is less than its coupon threshold value on all calculation days, you will not receive any contingent coupon payments over the term of the securities.

Contingent Coupon Payment Dates:

Monthly, on the third business day following each calculation day (as each such calculation day may be postponed pursuant to “—Market Disruption Events and Postponement Provisions” below, if applicable); provided that the contingent coupon payment date with respect to the final calculation day will be the stated maturity date.

Automatic Call:

If the closing value of the lowest performing underlier on any call date is greater than or equal to its starting value, the securities will be automatically called, and on the related call settlement date you will be entitled to receive a cash payment per security in U.S. dollars equal to the face amount plus a final contingent coupon payment and any previously unpaid contingent coupon payments. The securities will not be subject to automatic call until the September 2026 calculation day.

PS-2

 


Market Linked Securities—Auto-Callable with Contingent Coupon with Memory Feature and Contingent Downside

Principal at Risk Securities Linked to the Lowest Performing of the Common Stock of Microsoft Corporation, the Common Stock of Apple Inc. and the SPDR® Gold Trust due March 14, 2029

 

 

If the securities are automatically called, they will cease to be outstanding on the related call settlement date and you will have no further rights under the securities after such call settlement date. You will not receive any notice from us if the securities are automatically called.

Calculation Days*:

 

Monthly, on the 9th day of each month, commencing April 2026 and ending February 2029, and the final calculation day, each subject to postponement as described below under “—Market Disruption Events and Postponement Provisions.” We refer to March 9, 2029 as the “final calculation day.”

 

Call Dates:

Monthly; the calculation days commencing in September 2026 and ending in February 2029, inclusive.

Call Settlement Date:

The contingent coupon payment date immediately following the applicable call date

Stated Maturity Date*:

March 14, 2029, subject to postponement. The securities are not subject to repayment at the option of any holder of the securities prior to the stated maturity date.

Maturity Payment Amount:

If the securities are not automatically called prior to the stated maturity date, you will be entitled to receive on the stated maturity date a cash payment per security in U.S. dollars equal to the maturity payment amount (in addition to the final contingent coupon payment and any previously unpaid contingent coupon payments, if due). The “maturity payment amount” per security will equal:

• if the ending value of the lowest performing underlier on the final calculation day is greater than or equal to its downside threshold value: $1,000; or

• if the ending value of the lowest performing underlier on the final calculation day is less than its downside threshold value:

$1,000 × performance factor of the lowest performing underlier on the final calculation day

If the securities are not automatically called prior to stated maturity and the ending value of the lowest performing underlier on the final calculation day is less than its downside threshold value, you will lose more than 50%, and possibly all, of the face amount of your securities at stated maturity.

Any return on the securities will be limited to the sum of your contingent coupon payments, if any. You will not participate in any appreciation of any underlier, but you will have full downside exposure to the lowest performing underlier on the final calculation day if the ending value of that underlier is less than its downside threshold value.

Lowest Performing Underlier:

 

For any calculation day, the “lowest performing underlier” will be the underlier with the lowest performance factor on that calculation day.

Performance Factor:

With respect to an underlier on any calculation day, its closing value on such calculation day divided by its starting value (expressed as a percentage).

Closing Value:

With respect to an underlying stock on any trading day, its stock closing price on that trading day.

With respect to the fund on any trading day, its fund closing price on that trading day.

Stock Closing Price:

With respect to each underlying stock, stock closing price, closing price and adjustment factor have the meanings set forth under “General Terms of the Securities—Certain Terms for Securities Linked to an Underlying Stock—Certain Definitions” in the accompanying product supplement.

Fund Closing Price:

With respect to the fund, fund closing price, closing price and adjustment factor have the meanings set forth under “General Terms of the Securities—Certain Terms for Securities Linked to a Fund—Certain Definitions” in the accompanying product supplement.

Starting Value:

With respect to the common stock of Microsoft Corporation: $ , its closing value on the pricing date.

With respect to the common stock of Apple Inc.: $ , its closing value on the pricing date.

With respect to the SPDR® Gold Trust: $ , its closing value on the pricing date.

Ending Value:

The “ending value” of an underlier will be its closing value on the final calculation day.

Coupon Threshold Value:

With respect to an underlier, 50% of its starting value.

PS-3

 


Market Linked Securities—Auto-Callable with Contingent Coupon with Memory Feature and Contingent Downside

Principal at Risk Securities Linked to the Lowest Performing of the Common Stock of Microsoft Corporation, the Common Stock of Apple Inc. and the SPDR® Gold Trust due March 14, 2029

 

Downside Threshold Value:

With respect to an underlier, 50% of its starting value.

 

____________________

*To the extent that we make any change to the expected pricing date or expected original issue date, the calculation days and stated maturity date may also be changed in our discretion to ensure that the term of the securities remains the same

PS-4

 


Market Linked Securities—Auto-Callable with Contingent Coupon with Memory Feature and Contingent Downside

Principal at Risk Securities Linked to the Lowest Performing of the Common Stock of Microsoft Corporation, the Common Stock of Apple Inc. and the SPDR® Gold Trust due March 14, 2029

 

 

Market Disruption Events and Postponement Provisions:

Each calculation day is subject to postponement due to non-trading days and the occurrence of a market disruption event. In addition, the stated maturity date will be postponed if the final calculation day is postponed and will be adjusted for non-business days. For more information regarding adjustments to the calculation days and the stated maturity date, see “General Terms of the Securities—Consequences of a Market Disruption Event; Postponement of a Calculation Day—Securities Linked to Multiple Market Measures” and “—Payment Dates” in the accompanying product supplement. For purposes of the accompanying product supplement, each call settlement date and the stated maturity date is a “payment date.” In addition, for information regarding the circumstances that may result in a market disruption event, see “General Terms of the Securities—Certain Terms for Securities Linked to an Underlying Stock—Market Disruption Events” and “General Terms of the Securities—Certain Terms for Securities Linked to a Fund—Market Disruption Events” in the accompanying product supplement.

Regular Record Dates:

The scheduled business day immediately preceding the day on which payment is to be made (as such payment date may be adjusted)

Business Day:

Each Monday, Tuesday, Wednesday, Thursday and Friday that is not a day on which banking institutions in New York City generally are authorized or obligated by law, regulation or executive order to close. A day is a scheduled business day if, as of the pricing date, such day is scheduled to be a Monday, Tuesday, Wednesday, Thursday or Friday that is not a day on which banking institutions in New York City generally are authorized or obligated by law, regulation or executive order to close.

Calculation Agent:

Goldman Sachs & Co. LLC (“GS&Co.”)

Material Tax Consequences:

For a discussion of the material U.S. federal income and certain estate tax consequences of the ownership and disposition of the securities, see “Supplemental Discussion of U.S. Federal Income Tax Considerations.”

Denominations:

$1,000 and any integral multiple of $1,000.

Overdue Principal Rate and Overdue Coupon Rate:

The effective Federal Funds rate

Defeasance:

Not applicable

CUSIP:

40058XQQ0

 

 

 

 

 

 

 

 

 

 

 

PS-5

 


Market Linked Securities—Auto-Callable with Contingent Coupon with Memory Feature and Contingent Downside

Principal at Risk Securities Linked to the Lowest Performing of the Common Stock of Microsoft Corporation, the Common Stock of Apple Inc. and the SPDR® Gold Trust due March 14, 2029

 

 

Additional Information About the Issuer, the Guarantor and the Securities

 

 

You should read this pricing supplement together with WFS product supplement no. 9 dated January 20, 2026, the prospectus supplement dated February 14, 2025 and the prospectus dated February 14, 2025 for additional information about the securities. Information included in this pricing supplement supersedes information in the product supplement, prospectus supplement and prospectus to the extent it is different from that information. Certain defined terms used but not defined herein have the meanings set forth in the product supplement, prospectus supplement or prospectus.

When we refer to “we,” “us” or “our” in this pricing supplement, we refer only to GS Finance Corp. and not to any of its subsidiaries or affiliates, references to “The Goldman Sachs Group, Inc.”, our parent company, mean only The Goldman Sachs Group, Inc. and do not include its subsidiaries or affiliates and references to “Goldman Sachs” mean The Goldman Sachs Group, Inc. together with its consolidated subsidiaries and affiliates, including us.

You may access the product supplement, prospectus supplement and prospectus on the SEC website www.sec.gov as follows (or if such address has changed, by reviewing our filing for the relevant date on the SEC website):

• WFS Product Supplement No. 9 dated January 20, 2026:

https://www.sec.gov/Archives/edgar/data/886982/000119312526016310/wfs_productsupp_9_2025_s.htm

• Prospectus Supplement dated February 14, 2025:

https://www.sec.gov/Archives/edgar/data/886982/000119312525027380/d891153d424b2.htm

• Prospectus dated February 14, 2025:

https://www.sec.gov/Archives/edgar/data/886982/000119312525027379/d860775d424b2.htm

The securities will be issued under the senior debt indenture, dated as of October 10, 2008, as supplemented by the First Supplemental Indenture, dated as of February 20, 2015, each among us, as issuer, The Goldman Sachs Group, Inc., as guarantor, and The Bank of New York Mellon, as trustee. This indenture, as so supplemented and as further supplemented thereafter, is referred to as the “GSFC 2008 indenture” in the accompanying prospectus supplement.

The securities will be issued in book-entry form and represented by master note no. 3, dated March 22, 2021. References herein to “calculation day” or “final calculation day” shall be deemed to refer to “determination date” in such master note no. 3, dated March 22, 2021.

PS-6

 


Market Linked Securities—Auto-Callable with Contingent Coupon with Memory Feature and Contingent Downside

Principal at Risk Securities Linked to the Lowest Performing of the Common Stock of Microsoft Corporation, the Common Stock of Apple Inc. and the SPDR® Gold Trust due March 14, 2029

 

GS Finance Corp. may use this prospectus in the initial sale of the securities. In addition, Goldman Sachs & Co. LLC or any other affiliate of GS Finance Corp. may use this prospectus in a market-making transaction in a security after its initial sale. Unless GS Finance Corp. or its agent informs the purchaser otherwise in the confirmation of sale, this prospectus is being used in a market-making transaction.

Wells Fargo Advisors (“WFA”) is a trade name used by Wells Fargo Clearing Services, LLC and Wells Fargo Advisors Financial Network, LLC, members SIPC, separate registered broker-dealers and non-bank affiliates of Wells Fargo & Company.

Estimated Value of the Securities

The estimated value of your securities at the time the terms of your securities are set on the pricing date (as determined by reference to pricing models used by Goldman Sachs & Co. LLC (GS&Co.) and taking into account our credit spreads) is expected to be between $890 and $920 per $1,000 face amount, which is less than the original offering price. The value of your securities at any time will reflect many factors and cannot be predicted; however, the price (not including GS&Co.’s customary bid and ask spreads) at which GS&Co. would initially buy or sell securities (if it makes a market, which it is not obligated to do) and the value that GS&Co. will initially use for account statements and otherwise is equal to approximately the estimated value of your securities at the time of pricing, plus an additional amount (initially equal to $ per $1,000 face amount).

Prior to , the price (not including GS&Co.’s customary bid and ask spreads) at which GS&Co. would buy or sell your securities (if it makes a market, which it is not obligated to do) will equal approximately the sum of (a) the then-current estimated value of your securities (as determined by reference to GS&Co.’s pricing models) plus (b) any remaining additional amount (the additional amount will decline to zero on a straight-line basis from the time of pricing through ). On and after , the price (not including GS&Co.’s customary bid and ask spreads) at which GS&Co. would buy or sell your securities (if it makes a market) will equal approximately the then-current estimated value of your securities determined by reference to such pricing models.

 

PS-7

 


Market Linked Securities—Auto-Callable with Contingent Coupon with Memory Feature and Contingent Downside

Principal at Risk Securities Linked to the Lowest Performing of the Common Stock of Microsoft Corporation, the Common Stock of Apple Inc. and the SPDR® Gold Trust due March 14, 2029

 

Investor Considerations

 

The securities are not appropriate for all investors. The securities may be an appropriate investment for investors who:

seek an investment with contingent coupon payments of at least $6.875 per security (equivalent to a contingent coupon rate of at least 8.25% per annum) (to be determined on the pricing date) until the earlier of stated maturity or automatic call, if, and only if, the closing value of the lowest performing underlier on the applicable calculation day is greater than or equal to its coupon threshold value;
understand that if the ending value of the lowest performing underlier on the final calculation day is less than its downside threshold value, they will be fully exposed to the decline in the lowest performing underlier from its starting value and could lose all or a substantial portion of their investment in the securities;
are willing to accept the risk that they may receive few or no contingent coupon payments over the term of the securities;
understand that the securities may be automatically called prior to stated maturity and that the term of the securities may be reduced;
understand that the return on the securities will depend solely on the performance of the underlier that is the lowest performing underlier on each calculation day and that they will not benefit in any way from the performance of the better performing underliers;
understand that the securities are riskier than alternative investments linked to only one of the underliers or linked to a basket composed of each underlier;
understand and are willing to accept the full downside risks of each underlier;
are willing to forgo participation in any appreciation of any underlier and dividends on the shares of the underliers; and
are willing to hold the securities until maturity.

The securities may not be an appropriate investment for investors who:

seek a liquid investment or are unable or unwilling to hold the securities to maturity;
require full payment of the face amount of the securities at stated maturity;
seek a security with a fixed term;
are unwilling to purchase securities with an estimated value as of the pricing date that is lower than the original offering price and that may be as low as the lower estimated value set forth on the cover page;
are unwilling to accept the risk that the closing value of the lowest performing underlier on the final calculation day may be less than its downside threshold value;
seek certainty of current income over the term of the securities;
seek exposure to the upside performance of any or each underlier;
seek exposure to a basket composed of each underlier or a similar investment in which the overall return is based on a blend of the performances of the underliers, rather than solely on the lowest performing underlier;
are unwilling to accept the risk of exposure to the underliers;
are unwilling to accept the credit risk of GS Finance Corp. and The Goldman Sachs Group, Inc.; or
prefer the lower risk of conventional fixed income investments with comparable maturities issued by companies with comparable credit ratings.

 

The considerations identified above are not exhaustive. Whether or not the securities are an appropriate investment for you will depend on your individual circumstances, and you should reach an investment decision only after you and your investment, legal, tax, accounting and other advisors have carefully considered the appropriateness of an investment in the securities in light of your particular circumstances. You should also review carefully the “Selected Risk Considerations” herein, as well as the risks and considerations described in the accompanying prospectus, in the accompanying prospectus supplement and the “Risk Factors” in the accompanying product supplement for risks related to an investment in the securities. For more information about the underliers, please see the sections titled “Microsoft Corporation”, “Apple Inc.” and “The SPDR® Gold Trust” below.

PS-8

 


Market Linked Securities—Auto-Callable with Contingent Coupon with Memory Feature and Contingent Downside

Principal at Risk Securities Linked to the Lowest Performing of the Common Stock of Microsoft Corporation, the Common Stock of Apple Inc. and the SPDR® Gold Trust due March 14, 2029

 

 

Determining Payment On a Contingent Coupon Payment Date and at Maturity

 

If the securities have not been previously automatically called, on each contingent coupon payment date, you will either receive a contingent coupon payment (including any previously unpaid contingent coupon payments) or you will not receive a contingent coupon payment, depending on the closing value of the lowest performing underlier on the related calculation day.

Step 1: Determine which underlier is the lowest performing underlier on the relevant calculation day. The lowest performing underlier on any calculation day is the underlier with the lowest performance factor on that calculation day. The performance factor of an underlier on a calculation day is its closing value on that calculation day as a percentage of its starting value (i.e., its closing value on that calculation day divided by its starting value).

Step 2: Determine whether a contingent coupon (including any previously unpaid contingent coupons) is paid on the applicable contingent coupon payment date based on the closing value of the lowest performing underlier on the relevant calculation day, as follows:

 

 

img257897739_0.jpg

Is

 

PS-9

 


Market Linked Securities—Auto-Callable with Contingent Coupon with Memory Feature and Contingent Downside

Principal at Risk Securities Linked to the Lowest Performing of the Common Stock of Microsoft Corporation, the Common Stock of Apple Inc. and the SPDR® Gold Trust due March 14, 2029

 

If the securities have not been automatically called prior to the stated maturity date, then at maturity you will receive (in addition to the final contingent coupon payment and any previously unpaid contingent coupon payments, if due) a cash payment per security (the maturity payment amount) calculated as follows:

Step 1: Determine which underlier is the lowest performing underlier on the final calculation day. The lowest performing underlier on the final calculation day is the underlier with the lowest performance factor on the final calculation day. The performance factor of an underlier on the final calculation day is its ending value as a percentage of its starting value (i.e., its ending value divided by its starting value).

Step 2: Calculate the maturity payment amount based on the ending value of the lowest performing underlier, as follows:

img257897739_1.jpg

 

PS-10

 


Market Linked Securities—Auto-Callable with Contingent Coupon with Memory Feature and Contingent Downside

Principal at Risk Securities Linked to the Lowest Performing of the Common Stock of Microsoft Corporation, the Common Stock of Apple Inc. and the SPDR® Gold Trust due March 14, 2029

 

 

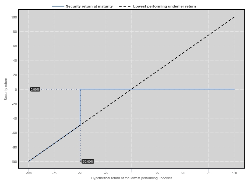
Hypothetical Payout Profile

 

 

The following profile illustrates the potential maturity payment amount on the securities (excluding the final contingent coupon payment and any previously unpaid contingent coupon payments, if due) for a range of hypothetical performances of the lowest performing underlier on the final calculation day from its starting value to its ending value, assuming the securities have not been automatically called prior to the stated maturity date. As this profile illustrates, in no event will you have a positive rate of return based solely on the maturity payment amount received at maturity; any positive return will be based solely on the contingent coupon payments, if any, received during the term of the securities. This graph has been prepared for purposes of illustration only. Your actual return will depend on the actual ending value of the lowest performing underlier on the final calculation day and whether you hold your securities to stated maturity. The performance of the better performing underlier is not relevant to your return on the securities.

img257897739_2.jpg

 

 

PS-11

 


Market Linked Securities—Auto-Callable with Contingent Coupon with Memory Feature and Contingent Downside

Principal at Risk Securities Linked to the Lowest Performing of the Common Stock of Microsoft Corporation, the Common Stock of Apple Inc. and the SPDR® Gold Trust due March 14, 2029

 

 

Selected Risk Considerations

 

An investment in your securities is subject to the risks described below, as well as the risks and considerations described in the accompanying prospectus, in the accompanying prospectus supplement and under “Risk Factors” in the accompanying WFS product supplement no. 9. You should carefully review these risks and considerations as well as the terms of the securities described herein and in the accompanying prospectus, the accompanying prospectus supplement and the accompanying WFS product supplement no. 9. Your securities are a riskier investment than ordinary debt securities. Also, your securities are not equivalent to investing directly in the underliers. You should carefully consider whether the offered securities are appropriate given your particular circumstances.

Risks Related to Structure, Valuation and Secondary Market Sales

The Estimated Value of Your Securities At the Time the Terms of Your Securities Are Set On the Pricing Date (as Determined By Reference to Pricing Models Used By GS&Co.) Is Less Than the Original Offering Price Of Your Securities.

The original offering price for your securities exceeds the estimated value of your securities as of the time the terms of your securities are set on the pricing date, as determined by reference to GS&Co.’s pricing models and taking into account our credit spreads. Such estimated value on the pricing date is set forth above under “Estimated Value of Your Securities; after the pricing date, the estimated value as determined by reference to these models will be affected by changes in market conditions, the creditworthiness of GS Finance Corp., as issuer, the creditworthiness of The Goldman Sachs Group, Inc., as guarantor, and other relevant factors. The price at which GS&Co. would initially buy or sell your securities (if GS&Co. makes a market, which it is not obligated to do), and the value that GS&Co. will initially use for account statements and otherwise, also exceeds the estimated value of your securities as determined by reference to these models. As agreed by GS&Co. and the distribution participants, this excess (i.e., the additional amount described under “Estimated Value of Your Securities”) will decline to zero on a straight line basis over the period from the date hereof through the applicable date set forth above under “Estimated Value of Your Securities”. Thereafter, if GS&Co. buys or sells your securities it will do so at prices that reflect the estimated value determined by reference to such pricing models at that time. The price at which GS&Co. will buy or sell your securities at any time also will reflect its then current bid and ask spread for similar sized trades of structured securities.

In estimating the value of your securities as of the time the terms of your securities are set on the pricing date, as disclosed above under “Estimated Value of Your Securities, GS&Co.’s pricing models consider certain variables, including principally our credit spreads, interest rates (forecasted, current and historical rates), volatility, price-sensitivity analysis and the time to maturity of the securities. These pricing models are proprietary and rely in part on certain assumptions about future events, which may prove to be incorrect. As a result, the actual value you would receive if you sold your securities in the secondary market, if any, to others may differ, perhaps materially, from the estimated value of your securities determined by reference to our models due to, among other things, any differences in pricing models or assumptions used by others. See “— The Market Value of Your Securities May Be Influenced By Many Unpredictable Factors” below.

The difference between the estimated value of your securities as of the time the terms of your securities are set on the pricing date and the original offering price is a result of certain factors, including principally the underwriting discount and commissions, the expenses incurred in creating, documenting and marketing the securities, and an estimate of the difference between the amounts we pay to GS&Co. and the amounts GS&Co. pays to us in connection with your securities. We pay to GS&Co. amounts based on what we would pay to holders of a non-structured security with a similar maturity. In return for such payment, GS&Co. pays to us the amounts we owe under your securities.

In addition to the factors discussed above, the value and quoted price of your securities at any time will reflect many factors and cannot be predicted. If GS&Co. makes a market in the securities, the price quoted by GS&Co. would reflect any changes in market conditions and other relevant factors, including any deterioration in our creditworthiness or perceived creditworthiness or the creditworthiness or perceived creditworthiness of The Goldman Sachs Group, Inc. These changes may adversely affect the value of your securities, including the price you may receive for your securities in any market making transaction. To the extent that GS&Co. makes a market in the securities, the quoted price will reflect the estimated value determined by reference to GS&Co.’s pricing models at that time, plus or minus its then current bid and ask spread for similar sized trades of structured securities (and subject to the declining excess amount described above).

Furthermore, if you sell your securities, you will likely be charged a commission for secondary market transactions, or the price will likely reflect a dealer discount. This commission or discount will further reduce the proceeds you would receive for your securities in a secondary market sale.

There is no assurance that GS&Co., WFS or any other party will be willing to purchase your securities at any price and, in this regard, GS&Co. and WFS are not obligated to make a market in the securities. See “Risk Factors — Your Securities May Not Have an Active Trading Market” in the accompanying product supplement.

The Securities Are Subject to the Credit Risk of the Issuer and the Guarantor.

Although the contingent coupons (if any) and return on the securities will be based on the performance of each underlier, the payment of any amount due on the securities is subject to the credit risk of GS Finance Corp., as issuer of the securities, and the credit risk of The Goldman Sachs Group, Inc., as guarantor of the securities. The securities are our unsecured obligations. Investors are dependent on our ability to pay all amounts due on the securities, and therefore investors are subject to our credit risk and to changes in the market’s view of our creditworthiness. Similarly, investors are dependent on the ability of The Goldman Sachs Group, Inc., as guarantor of the

PS-12

 


Market Linked Securities—Auto-Callable with Contingent Coupon with Memory Feature and Contingent Downside

Principal at Risk Securities Linked to the Lowest Performing of the Common Stock of Microsoft Corporation, the Common Stock of Apple Inc. and the SPDR® Gold Trust due March 14, 2029

 

securities, to pay all amounts due on the securities, and therefore are also subject to its credit risk and to changes in the market’s view of its creditworthiness. See “Description of the Notes We May Offer — Information About Our Medium-Term Notes, Series F Program — How the Notes Rank Against Other Debt” on page S-5 of the accompanying prospectus supplement and “Description of Debt Securities We May Offer — Guarantee by The Goldman Sachs Group, Inc.” on page 65 of the accompanying prospectus.

You May Lose Your Entire Investment in the Securities.

You can lose your entire investment in the securities. Assuming your securities are not automatically called, the maturity payment amount on your securities, if any, on the stated maturity date will be based on the performance of the lowest performing of the underliers as measured from their starting values set on the pricing date to their closing values on the final calculation day. If the ending value of any underlier is less than its downside threshold value, you will have full downside exposure to the decrease in the value of the lowest performing underlier from its starting value, and you will lose 1% of the face amount of your securities for every 1% that the ending value of the lowest performing underlier on the final calculation day is less than its starting value. Thus, you may lose your entire investment in the securities.

Also, the market price of your securities prior to a call settlement date or the stated maturity date, as the case may be, may be significantly lower than the purchase price you pay for your securities. Consequently, if you sell your securities before the stated maturity date, you may receive far less than the amount of your investment in the securities.

The Return on Your Securities May Change Significantly Despite Only a Small Change in the Value of the Lowest Performing Underlier.

If your securities are not automatically called and the ending value of the lowest performing underlier on the final calculation day is less than its downside threshold value, you will receive less than the face amount of your securities and you could lose all or a substantial portion of your investment in the securities. This means that while a decrease in the ending value of the lowest performing underlier on the final calculation day to its downside threshold value will not result in a loss of principal on the securities, a decrease in the ending value of the lowest performing underlier on the final calculation day to less than its downside threshold value will result in a loss of a significant portion of the face amount of the securities despite only a small change in the value of the lowest performing underlier.

You May Not Receive a Contingent Coupon on Any Contingent Coupon Payment Date.

If the closing value of any underlier on the related calculation day is less than its coupon threshold value, you will not receive a coupon payment on the applicable contingent coupon payment date. If this occurs on every calculation day, the overall return you earn on your securities will be zero or less and such return will be less than you would have earned by investing in a security that bears interest at the prevailing market rate.

You will only receive a contingent coupon (plus any previously unpaid contingent coupon payments, without interest on such amounts previously unpaid) on a contingent coupon payment date if the closing value of each underlier on the related calculation day is greater than or equal to its coupon threshold value. You should be aware that, with respect to any prior calculation days that did not result in the payment of a contingent coupon, you will not be compensated for any opportunity cost implied by inflation and other factors relating to the time value of money. Further, there is no guarantee that you will receive any contingent coupon payment with respect to the securities at any time and you may lose your entire investment in the securities.

Because the Securities Are Linked to the Performance of the Lowest Performing Underlier, You Have a Greater Risk of Receiving No Contingent Coupons and Sustaining a Significant Loss on Your Investment Than If the Securities Were Linked to Just One Underlier.

The risk that you will not receive any contingent coupons, or that you will suffer a significant loss on your investment, is greater if you invest in the securities as opposed to substantially similar securities that are linked to the performance of just one underlier. With multiple underliers, it is more likely that at least one underlier will close below its coupon threshold value on any calculation day, or below its downside threshold value on the final calculation day, than if the securities were linked to only one underlier. Therefore, it is more likely that you will not receive any contingent coupons and that you will suffer a significant loss on your investment.

Movements in the values of the underliers may be correlated or uncorrelated at different times during the term of the securities and, if there is correlation, such correlation may be positive (the underliers move in the same direction) or negative (the underliers move in reverse directions). You should not take the historical correlation (or lack thereof) of the underliers as an indication of the future correlation, if any, of the underliers. Such correlation could have an adverse effect on your return on the securities. For example, if the underliers are negatively correlated on a calculation day or the final calculation day, as applicable, and the price of one underlier increases, it is likely that the other underliers will decrease and such decrease could cause one or both of the underliers to close below its coupon threshold value on a calculation day or below its downside threshold value on the final calculation day. In addition, although the correlation of the underliers’ performance may change over the term of the securities, the contingent coupon is determined, in part, based on the correlation of the underliers' performance at the time when the terms of the securities are finalized. As discussed below in “A Higher Contingent Coupon, a Lower Coupon Threshold Value and/or a Lower Downside Threshold Value May Reflect Greater Expected Volatility of the Underliers, and Greater Expected Volatility Generally Indicates An Increased Risk of Declines in the Values of the Underliers and, Potentially, a Significant Loss at Maturity”, higher contingent coupons indicate a greater potential for missed contingent coupons and for a loss on your investment at maturity, which are risks generally associated with underliers that have lower correlation. In addition, other factors and inputs other than correlation may impact how the terms of the securities are set and the performance of the securities.

PS-13

 


Market Linked Securities—Auto-Callable with Contingent Coupon with Memory Feature and Contingent Downside

Principal at Risk Securities Linked to the Lowest Performing of the Common Stock of Microsoft Corporation, the Common Stock of Apple Inc. and the SPDR® Gold Trust due March 14, 2029

 

A Higher Contingent Coupon, a Lower Coupon Threshold Value and/or a Lower Downside Threshold Value May Reflect Greater Expected Volatility of the Underliers, and Greater Expected Volatility Generally Indicates An Increased Risk of Declines in the Values of the Underliers and, Potentially, a Significant Loss at Maturity.

The economic terms for the securities, including the contingent coupon, the coupon threshold value and the downside threshold value, are based, in part, on the expected volatility of each underlier at the time the terms of the securities are set. “Volatility” refers to the frequency and magnitude of changes in the values of the underliers.

Higher expected volatility with respect to each underlier as of the pricing date generally indicates a greater expectation as of that date that (i) the ending value of the lowest performing underlier on the final calculation day could ultimately be less than its downside threshold value on the final calculation day, which would result in a loss of a significant portion or all of your investment in the securities, or (ii) the closing value of the underlier on any calculation day will be less than its coupon threshold value, which would result in the nonpayment of the contingent coupon. At the time the terms of the securities are set, higher expected volatility will generally be reflected in a higher contingent coupon, a lower coupon threshold value and/or a lower downside threshold value, as compared to otherwise comparable securities issued by the same issuer with the same maturity (taking into account any ability of the issuer to redeem the securities prior to maturity) but with one or more different underliers. However, there is no guarantee that the higher contingent coupon, lower coupon threshold value or lower downside threshold value set for your securities on the pricing date will adequately compensate you, from a risk-potential reward perspective, for the greater risk of receiving no contingent coupon on any contingent coupon payment date or of losing some or all of your investment in the securities.

A relatively higher contingent coupon (as compared to otherwise comparable securities), which would increase the positive return if the closing value of each underlier is greater than or equal to its coupon threshold value on a calculation day, or a relatively lower coupon threshold value, which would increase the amount that an underlier could decrease on a calculation day before the securities become ineligible for a particular coupon payment, may generally indicate an increased risk that the value of each underlier will decrease substantially, which would result in the nonpayment of the contingent coupon on some or all of the contingent coupon payment dates.

Similarly, a relatively lower downside threshold value (as compared to otherwise comparable securities), which would increase the buffer against the loss of principal, may generally indicate an increased risk that the value of each underlier will decrease substantially. This would result in a significant loss at maturity if the ending value of at least one underlier is less than its downside threshold value. Further, a relatively lower downside threshold value may not indicate that the securities have a greater likelihood of a return of principal at maturity based on the performance of each underlier.

You should not take the historical volatility of any underlier as an indication of its future volatility. You should be willing to accept the downside market risk of each underlier and the potential to not receive some contingent coupons and to lose a significant portion or all of your investment in the securities.

The Maturity Payment Amount Will Be Based Solely on the Lowest Performing Underlier.

If the securities are not automatically called, the maturity payment amount will be based on the lowest performing underlier without regard to the performances of the other underliers. As a result, you could lose all or some of your initial investment if the ending value of the lowest performing underlier on the final calculation day is less than its downside threshold value, even if there is an increase in the prices of the other underliers. This could be the case even if the other underliers increased by an amount greater than the decrease in the lowest performing underlier.

Your Securities Are Subject to Automatic Redemption.

We will automatically call and redeem all, but not part, of your securities on a call settlement date if, as measured on any call date, the closing value of each underlier is greater than or equal to its starting value. Therefore, the term for your securities may be reduced. You will not receive any additional contingent coupon payments after the securities are automatically called and you may not be able to reinvest the proceeds from an investment in the securities at a comparable return for a similar level of risk in the event the securities are automatically called prior to maturity. For the avoidance of doubt, if your securities are automatically called, no discounts, commissions or fees described herein will be rebated or reduced.

The Contingent Coupon Does Not Reflect the Actual Performance of the Underliers from the Pricing Date to Any Calculation Day or from Calculation Day to Calculation Day.

The contingent coupon for each contingent coupon payment date is different from, and may be less than, a coupon determined based on the percentage difference of the closing values of the underliers between the pricing date and any calculation day or between two calculation days. Accordingly, the contingent coupons, if any, on the securities may be less than the return you could earn on another instrument linked to the underliers that pays coupons based on the performance of the underliers from the pricing date to any calculation day or from calculation day to calculation day.

The Market Value of Your Securities May Be Influenced By Many Unpredictable Factors.

When we refer to the market value of your securities, we mean the value that you could receive for your securities if you chose and were able to sell them in the open market before the stated maturity date. A number of factors, many of which are beyond our control and impact the value of bonds and options generally, will influence the market value of your securities, including:

the prices of the underliers;

PS-14

 


Market Linked Securities—Auto-Callable with Contingent Coupon with Memory Feature and Contingent Downside

Principal at Risk Securities Linked to the Lowest Performing of the Common Stock of Microsoft Corporation, the Common Stock of Apple Inc. and the SPDR® Gold Trust due March 14, 2029

 

the volatility — i.e., the frequency and magnitude of changes — in the prices of the underliers;
the correlation among the underliers — i.e., the extent to which the prices of the underliers tend to fluctuate at the same time, in the same direction and in similar magnitudes;
the dividend rates of the underliers;
economic, financial, regulatory, political, military, public health and other events that affect stock markets generally and the market segments of which the underlying stocks are a part, and which may affect the market prices or closing values of the underliers;
interest rates and yield rates in the market;
the time remaining until your securities mature; and
our creditworthiness and the creditworthiness of The Goldman Sachs Group, Inc., whether actual or perceived, including actual or anticipated upgrades or downgrades in our credit ratings or the credit ratings of The Goldman Sachs Group, Inc. or changes in other credit measures.

Without limiting the foregoing, the market value of your securities may be negatively impacted by increasing interest rates. Such adverse impact of increasing interest rates could be significantly enhanced in securities with longer-dated maturities, the market values of which are generally more sensitive to increasing interest rates.

These factors will influence the price you will receive if you sell your securities before maturity, including the price you may receive for your securities in any market-making transaction. If you sell your securities before maturity, you may receive less than the face amount of your securities or less than you would have received had you held your securities to maturity.

You cannot predict the future prices of the underliers based on their historical fluctuations. The actual prices of the underliers over the life of the securities may bear little or no relation to the historical closing prices of the underliers or to the hypothetical examples shown elsewhere in this pricing supplement.

We Will Not Hold Shares of the Underlying Stocks for Your Benefit.

The indenture governing your security does not contain any restriction on our ability or the ability of any of our affiliates to sell, pledge or otherwise convey a share or shares of the underlying stocks acquired by us or them. Neither we nor our affiliates will pledge or otherwise hold shares of the underlying stocks for your benefit in order to enable you to exchange your security for shares under any circumstances. Consequently, in the event of our bankruptcy, insolvency or liquidation, any shares of the underlying stocks owned by us will be subject to the claims of our creditors generally and will not be available for your benefit specifically.

The Return on Your Securities Will Not Reflect Any Dividends Paid on the Underliers.

The return on your securities will not reflect the return you would realize if you actually owned shares of the underliers and received the distributions paid on the shares of such underliers. You will not receive any dividends that may be paid on the shares of the underliers. See “—You Have No Shareholder Rights or Rights to Receive Any Shares of the Underliers” below for additional information.

You Have No Shareholder Rights or Rights to Receive Any Shares of the Underliers.

Investing in your securities will not make you a holder of any shares of the underliers. Neither you nor any other holder or owner of your securities will have any rights with respect to the underliers, including any voting rights, any rights to receive dividends or other distributions, any rights to make a claim against the underliers or any other rights of a holder of any shares of the underliers. Your securities will be paid in cash, as will any coupon payments, and you will have no right to receive delivery of any shares of the underliers.

Additional Risks Related to the Fund

The Policies of the Fund’s Investment Advisor Could Affect the Amount Payable on Your Securities and Their Market Value.

The fund’s investment advisor may be called upon to make certain policy decisions or judgments with respect to the fund, including those concerning the calculation of the net asset value of the fund, additions, deletions or substitutions of assets in the fund. Such determinations could affect the market price of the shares of the fund, and therefore, the amount payable on your securities. The amount payable on your securities and their market value could also be affected if the fund investment advisor changes these policies, for example, by changing or discontinuing the manner in which it evaluates the assets held by the fund and the manner in which it calculates the net asset value of the fund, in which case it may become difficult or inappropriate to determine the market value of your securities.

If events such as these occur, the calculation agent — which initially will be GS & Co., our affiliate — may determine the fund closing price of the fund on a calculation day or the final calculation day — and thus the amount payable on the call settlement date or the stated maturity date, if any— in a manner it considers appropriate, in its sole discretion.

PS-15

 


Market Linked Securities—Auto-Callable with Contingent Coupon with Memory Feature and Contingent Downside

Principal at Risk Securities Linked to the Lowest Performing of the Common Stock of Microsoft Corporation, the Common Stock of Apple Inc. and the SPDR® Gold Trust due March 14, 2029

 

Except to the Extent GS&Co., WFS and One or More of Our Other Affiliates Act as Authorized Participants in the Distribution of, and, at Any Time, May Hold, Shares of, the Fund, There Is No Affiliation Between the Fund Investment Advisor and Us.

GS&Co., WFS and one or more of our other affiliates may act, from time to time, as authorized participants in the distribution of shares of the fund, and, at any time, may hold shares of the fund. Goldman Sachs is not otherwise affiliated with the fund investment advisor. Neither we nor any of our affiliates have participated in the preparation of any publicly available information or made any “due diligence” investigation or inquiry with respect to the fund. You, as an investor in the securities, should make your own investigation into the fund.

The fund investment advisor is not involved in the offering of the securities in any way and does not have any obligation of any sort with respect to the securities. The fund investment advisor does not have any obligation to take your interests into consideration for any reason, including when taking any corporate actions that might affect the value of the securities.

There Is No Assurance That an Active Trading Market Will Continue For the Fund or That There Will Be Liquidity in Any Such Trading Market; Further, the Fund Is Subject to Custody Risks.

Although the shares of the fund and a number of similar products have been listed for trading on securities exchanges for varying periods of time, there is no assurance that an active trading market will continue for the shares of the fund or that there will be liquidity in the trading market.

The purpose of the fund is to own gold transferred to the fund in exchange for shares issued by the fund. The fund is not actively managed and may be affected by a decline in the price of gold.

In addition, the fund is subject to custody risk, which refers to the risks in safekeeping the fund’s gold bars and facilitating the transfer of gold bars into and out of the fund.

Ongoing Commodities-Related Regulatory Investigations And Private Litigation Could Affect Prices for Commodities, Which Could Adversely Affect Your Securities.

An increased focus on price setting and trading prices by regulators and exchanges recently have resulted in a number of changes to the ways in which prices are determined, including prices for commodities. This increased focus also resulted in the publication of standards for benchmark setting by the International Organization of Securities Commissions. Investigations by regulatory authorities, enforcement actions and criminal proceedings in the United States and around the world, and private litigation regarding potential direct and indirect manipulation of the trading prices of certain commodities, are ongoing against a number of firms.

These ongoing investigations, actions, proceedings and litigations may result in further review by exchanges and regulators of the methods by which commodities prices are determined and the manner in which commodities are traded and changes to those methods. In addition, changes to other commodity-related activities, such as storage facilities and delivery methods, may also occur. If any of these changes occur, the price of the commodity to which your securities may be linked may be affected, which may thereby adversely affect the price of the fund and your securities.

In addition, if alleged trading price manipulation or other alleged conduct that may have artificially affected prices has occurred or is continuing, certain published commodity prices (including historical prices) may have been, or may be in the future, artificially lower (or higher) than they would otherwise have been. In particular, the historical trading information of the commodity to which your securities may be linked may be incorrect and, as a result, may not be representative of the prices or changes in prices or the volatility of the commodity to which your securities may be linked. In the future, any such artificially lower (or higher) prices could have an adverse impact on the relevant commodities or commodity contracts and any payments on, and the value of, your securities and the trading market for your securities.

Legal and Regulatory Changes Could Adversely Affect the Return on and Value of Your Securities.

The Dodd-Frank Wall Street Reform and Consumer Protection Act (Dodd-Frank), which effected substantial changes to the regulation of the futures and over-the-counter (OTC) derivatives markets, was enacted in July 2010. Dodd-Frank required regulators, including the Commodity Futures Trading Commission (CFTC), to adopt regulations to implement many of the requirements of the legislation. While the CFTC has adopted the required regulations, some of them have only recently become effective. The ultimate impact of the regulatory scheme, therefore, cannot yet be fully determined. Under Dodd-Frank, in October 2020 the CFTC adopted a rule to impose limits on the size of positions that can be held by market participants in futures and OTC derivatives on physical commodities. Required compliance with the new position limits rule began on January 1, 2022 for physical commodity futures (and any associated referenced contracts other than economically equivalent swaps) and on January 1, 2023 for economically equivalent swaps. Despite the compliance date for economically equivalent swaps having passed, there remains substantial market uncertainty as to the exact scope of what constitutes an economically equivalent swap. The CFTC also has adopted final rules governing the aggregation of positions by market participants under common control and by trading managers. While the ultimate scope and impact of the position limit and aggregation rules, as well as other CFTC rules, cannot be conclusively determined at present, these new requirements could restrict the ability of certain market participants to participate in the commodities, futures and swap markets and markets for other OTC derivatives on physical commodities to the extent and at the levels that they have in the past. These factors may also have the effect of reducing liquidity and increasing costs in these markets as well as affecting the structure of the markets in other ways.

In addition, these legislative and regulatory changes have increased, and will continue to increase, the level of regulation of markets and market participants, and therefore the costs of participating in the commodities, futures and OTC derivatives markets. Without limitation, these changes require many OTC derivatives transactions to be executed on regulated exchanges or trading platforms and

PS-16

 


Market Linked Securities—Auto-Callable with Contingent Coupon with Memory Feature and Contingent Downside

Principal at Risk Securities Linked to the Lowest Performing of the Common Stock of Microsoft Corporation, the Common Stock of Apple Inc. and the SPDR® Gold Trust due March 14, 2029

 

cleared through regulated clearing houses. Swap dealers (as defined by the CFTC) are also required to be registered and are subject to various regulatory requirements, including, but not limited to, posting and collecting margin for un-cleared OTC swaps traded bilaterally with financial entities, recordkeeping, reporting and various business conduct requirements, as well as minimum financial capital requirements. These legislative and regulatory changes, and the resulting increased costs and regulatory oversight requirements, could result in market participants being required to, or deciding to, limit their trading activities, which could cause reductions in market liquidity and increases in market volatility. In addition, transaction costs incurred by market participants are likely to be higher than in the past, reflecting the costs of compliance with the new regulations. These consequences could adversely affect the price of the fund, which could in turn adversely affect the return on and value of your securities.

In addition, other regulatory bodies have passed or proposed, or may propose in the future, legislation similar to Dodd-Frank or other legislation containing other restrictions that could adversely impact the liquidity of and increase costs of participating in the commodities markets. For example, the European Union (“EU”) Markets in Financial Instruments Directive (Directive 2014/65/EU) and Markets in Financial Instruments Regulation (Regulation (EU) No 600/2014) (together “MiFID II”), which has applied since January 3, 2018, governs the provision of investment services and activities in relation to, as well as the organized trading of, financial instruments such as shares, bonds, units in collective investment schemes and derivatives. In particular, MiFID II requires EU Member States to apply position limits to the size of a net position which a person can hold at any time in commodity derivatives traded on EU trading venues and in “economically equivalent” OTC contracts. By way of further example, the European Market Infrastructure Regulation (Regulation (EU) No 648/2012) (“EMIR”) introduced certain requirements in respect of OTC derivatives including: (i) the mandatory clearing of OTC derivative contracts declared subject to the clearing obligation; (ii) risk mitigation techniques in respect of uncleared OTC derivative contracts, including the mandatory margining of uncleared OTC derivative contracts; and (iii) reporting and recordkeeping requirements in respect of all derivative contracts. In the event that the requirements under EMIR and MiFID II apply, these are expected to increase the cost of transacting derivatives.

The Fund Is a Concentrated Investment in a Single Commodity and Does Not Provide Diversified Exposure.

The fund is concentrated in a single commodity. As a result, the performance of the fund will be concentrated in the performance of that specific commodity. Although your investment in the securities will not result in the ownership or other direct interest in the commodity held (directly or indirectly) by the fund, the return on your investment in the securities will be subject to certain risks similar to those associated with direct investment in that commodity. This increases the risk that any market events that create a decrease in demand for or the trading price of the commodity would significantly adversely affect the fund, which could have an adverse impact on the value of the securities.

The Value of the Shares of the Fund Relates Directly to the Value of the Gold Held by the Fund and Fluctuations in the Price of Gold Could Materially Adversely Affect an Investment in the Fund’s Shares.

The shares are designed to mirror as closely as possible the performance of the price of gold, and the value of the shares relates directly to the value of the gold held by the fund, less the trust’s liabilities (including estimated accrued expenses). The price of gold has fluctuated widely over the past several years. Several factors may affect the price of gold, including, but not limited to:

global supply and demand of gold, which may be influenced by such factors as gold’s uses in jewelry, technology and industrial applications, purchases made by investors in the form of bars, coins and other gold products, forward selling by gold producers, purchases made by gold producers to unwind their hedge positions, central bank purchases and sales, and production and cost levels in the major gold-producing countries such as China, the United States and Australia;
interest rates;
investors’ expectations concerning inflation rates;
currency exchange rates;
investment and trading activities of hedge funds and commodity funds;
global or regional political, economic, public health or financial events and situations, especially those unexpected in nature; and
other economic variables such as income growth, economic output and monetary policies.

Gold markets have historically experienced extended periods of flat or declining prices, in addition to sharp fluctuations.

Fees and Expenses Payable by the Fund Are Charged Regardless of Profitability and May Result in a Depletion of its Assets.

The fund is subject to fees and expenses, which are payable irrespective of profitability. Interest earned on the assets posted as collateral is paid to the fund and is used to pay fees and expenses. A prolonged decline in interest rates could materially affect the amount of interest paid to the fund. In the case of either an extraordinary expense and/or insufficient interest income to cover ordinary expenses, the fund could be forced to liquidate its positions in gold to pay such expenses.

Potential Discrepancies, or Future Changes, in the Calculation of the LBMA Gold Price PM Could Have an Adverse Effect on the Value of the Fund.

The value of the gold held by the fund is determined using the LBMA Gold Price PM, which is the LBMA Gold Price determined at 3:00 pm (London time) on the particular day. ICE Benchmark Administration (IBA) is the administrator for the LBMA Gold Price PM, and

PS-17

 


Market Linked Securities—Auto-Callable with Contingent Coupon with Memory Feature and Contingent Downside

Principal at Risk Securities Linked to the Lowest Performing of the Common Stock of Microsoft Corporation, the Common Stock of Apple Inc. and the SPDR® Gold Trust due March 14, 2029

 

IBA provides the auction platform, methodology as well as overall independent administration and governance for the LBMA Gold Price. As the administrator of the LBMA Gold Price, IBA operates an electronic and tradeable auction process. The price formation is in U.S. dollars only and prices are set twice daily at 10:30 a.m. and 3:00 p.m. (London time). Within the process, aggregated gold bids and offers are updated in real-time with the imbalance calculated and the price updated every 30 seconds until the buy and sell orders are matched.

If the LBMA Gold Price PM does not prove to be an accurate benchmark, and the LBMA Gold Price PM varies materially from the price of gold determined by other mechanisms, the net asset value of the fund and, therefore, the value of an investment in the shares could be adversely impacted. Further, the calculation of the LBMA Gold Price PM is not an exact process, but is based upon a procedure of matching orders from participants in the auction process and their customers to sell gold with orders from participants in the auction process and their customers to buy gold at particular prices. The LBMA Gold Price PM does not therefore purport to reflect each buyer or seller of gold in the market, nor does it purport to set a definitive price for gold at which all orders for sale or purchase will take place on that particular day or time. All orders placed into the auction process by the participants will be executed on the basis of the price determined pursuant to the LBMA Gold Price PM auction process. Any future developments or changes in the determination of the LBMA Gold price PM, to the extent they have a material impact on the LBMA Gold Price PM, could adversely impact the net asset value of the fund and the value of the shares.

The Amount of Gold Represented by the Shares of the Fund Will Continue to Be Reduced During the Life of the Fund Due to the Fund’s Expenses.

Each outstanding share represents a fractional, undivided interest in the gold held by the fund. The fund does not generate any income and regularly sells gold to pay for its ongoing expenses. Therefore, the amount of gold represented by each share has gradually declined over time. This is also true with respect to shares that are issued in exchange for additional deposits of gold into the fund, as the amount of gold required to create shares proportionately reflects the amount of gold represented by the shares outstanding at the time of creation. Assuming a constant gold price, the trading price of the shares is expected to gradually decline relative to the price of gold as the amount of gold represented by the shares gradually declines.

Termination or Liquidation of the Fund Could Adversely Affect the Value of the Securities.

The fund is a Delaware statutory trust. The trust may be required to terminate and liquidate at a time that is disadvantageous to you. If the trust is required to terminate and liquidate, such termination and liquidation could occur at a time when the price of gold is lower than the price of gold at the time when you purchased your securities, which could have an adverse impact on the value of the securities.

Risks Related to Tax

Certain Considerations for Insurance Companies and Employee Benefit Plans.

Any insurance company or fiduciary of a pension plan or other employee benefit plan that is subject to the prohibited transaction rules of the Employee Retirement Income Security Act of 1974, as amended, which we call “ERISA”, or the Internal Revenue Code of 1986, as amended, including an IRA or a Keogh plan (or a governmental plan to which similar prohibitions apply), and that is considering purchasing the offered securities with the assets of the insurance company or the assets of such a plan, should consult with its counsel regarding whether the purchase or holding of the offered securities could become a “prohibited transaction” under ERISA, the Internal Revenue Code or any substantially similar prohibition in light of the representations a purchaser or holder in any of the above categories is deemed to make by purchasing and holding the offered securities.

The Tax Consequences of an Investment in Your Securities Are Uncertain.

The tax consequences of an investment in your securities are uncertain, both as to the timing and character of any inclusion in income in respect of your securities.

The Internal Revenue Service announced on December 7, 2007 that it is considering issuing guidance regarding the tax treatment of an instrument such as your securities, and any such guidance could adversely affect the value and the tax treatment of your securities. Among other things, the Internal Revenue Service may decide to require the holders to accrue ordinary income on a current basis and recognize ordinary income on payment at maturity, and could subject non-U.S. investors to withholding tax. Furthermore, in 2007, legislation was introduced in Congress that, if enacted, would have required holders that acquired instruments such as your securities after the bill was enacted to accrue interest income over the term of such instruments even though there may be no interest payments over the term of such instruments. It is not possible to predict whether a similar or identical bill will be enacted in the future, or whether any such bill would affect the tax treatment of your securities. We describe these developments in more detail under “Supplemental Discussion of U.S. Federal Income Tax Considerations — United States Holders — Possible Change in Law” below. You should consult your tax advisor about this matter. Except to the extent otherwise provided by law, we intend to continue treating the securities for U.S. federal income tax purposes in accordance with the treatment described under “Supplemental Discussion of U.S. Federal Income Tax Considerations” below unless and until such time as Congress, the Treasury Department or the Internal Revenue Service determines that some other treatment is more appropriate. Please also consult your tax advisor concerning the U.S. federal income tax and any other applicable tax consequences to you of owning your securities in your particular circumstances.

Your Securities May Be Subject to the Constructive Ownership Rules

There exists a risk that the constructive ownership rules of Section 1260 of the Internal Revenue Code could apply to all or a portion of your securities. If all or a portion of your securities were subject to the constructive ownership rules, then all or a portion of any long-term capital gain that you realize upon the sale, exchange, redemption or maturity of your securities would be re-characterized as

PS-18

 


Market Linked Securities—Auto-Callable with Contingent Coupon with Memory Feature and Contingent Downside

Principal at Risk Securities Linked to the Lowest Performing of the Common Stock of Microsoft Corporation, the Common Stock of Apple Inc. and the SPDR® Gold Trust due March 14, 2029

 

ordinary income (and you would be subject to an interest charge on deferred tax liability with respect to such re-characterized capital gain) to the extent that such capital gain exceeds the amount of “net underlying long-term capital gain” (as defined in Section 1260 of the Internal Revenue Code). Because the application of the constructive ownership rules is unclear you are strongly urged to consult your tax advisor with respect to the possible application of the constructive ownership rules to your investment in the securities.

Foreign Account Tax Compliance Act (FATCA) Withholding May Apply to Payments on Your Securities, Including as a Result of the Failure of the Bank or Broker Through Which You Hold the Securities to Provide Information to Tax Authorities.

Please see the discussion under “United States Taxation — Taxation of Debt Securities — Foreign Account Tax Compliance Act (FATCA) Withholding” in the accompanying prospectus for a description of the applicability of FATCA to payments made on your securities.

PS-19

 


Market Linked Securities—Auto-Callable with Contingent Coupon with Memory Feature and Contingent Downside

Principal at Risk Securities Linked to the Lowest Performing of the Common Stock of Microsoft Corporation, the Common Stock of Apple Inc. and the SPDR® Gold Trust due March 14, 2029

 

 

Hypothetical Returns

 

If the securities are automatically called:

If the securities are automatically called prior to stated maturity, you will receive the face amount of your securities plus a final contingent coupon payment and any previously unpaid contingent coupon payments on the call settlement date. In the event the securities are automatically called, your total return on the securities will equal any contingent coupon payments received prior to the call settlement date and the contingent coupon payment(s) received on the call settlement date.

 

If the securities are not automatically called:

If the securities are not automatically called prior to stated maturity, the following table illustrates, for a range of hypothetical performance factors of the lowest performing underlier on the final calculation day, the hypothetical maturity payment amount payable at stated maturity per security (excluding the final contingent coupon payment and any previously unpaid contingent coupon payments, if due). The performance factor of the lowest performing underlier on the final calculation day is its ending value expressed as a percentage of its starting value (i.e., its ending value divided by its starting value).

 

 

Hypothetical performance factor of

lowest performing underlier on final

calculation day

Hypothetical maturity payment

amount per security

175.00%

$1,000.00

160.00%

$1,000.00

150.00%

$1,000.00

140.00%

$1,000.00

130.00%

$1,000.00

120.00%

$1,000.00

100.00%

$1,000.00

90.00%

$1,000.00

75.00%

$1,000.00

60.00%

$1,000.00

50.00%

$1,000.00

49.99%

$499.90

45.00%

$450.00

40.00%

$400.00

30.00%

$300.00

25.00%

$250.00

0.00%

$0.00

The above figures do not take into account contingent coupon payments, if any, received during the term of the securities. As evidenced above, in no event will you have a positive rate of return based solely on the maturity payment amount received at maturity; any positive return will be based solely on the contingent coupon payments, if any, received during the term of the securities.

The above figures are for purposes of illustration only and may have been rounded for ease of analysis. If the securities are not automatically called prior to stated maturity, the actual amount you will receive at stated maturity will depend on the actual ending value of the lowest performing underlier on the final calculation day. The performance of the better performing underlier is not relevant to your return on the securities.

PS-20

 


Market Linked Securities—Auto-Callable with Contingent Coupon with Memory Feature and Contingent Downside

Principal at Risk Securities Linked to the Lowest Performing of the Common Stock of Microsoft Corporation, the Common Stock of Apple Inc. and the SPDR® Gold Trust due March 14, 2029

 

 

Hypothetical Contingent Coupon Payments

 

Set forth below are examples that illustrate how to determine whether a contingent coupon payment will be paid (and whether any previously unpaid contingent coupon payments will be paid) and whether the securities will be automatically called, if applicable, on a contingent coupon payment date prior to the stated maturity date. The following examples assume that the hypothetical calculation day is also a call date. The securities will not be subject to automatic call until the September 2026 calculation day. The following examples reflect a hypothetical contingent coupon of $6.875 (equivalent to a contingent coupon rate of 8.25% per annum) (the lowest possible contingent coupon that may be determined on the pricing date) and assume the hypothetical starting value, coupon threshold value and closing values for each underlier indicated in the examples. The terms used for purposes of these hypothetical examples do not represent any actual starting value or coupon threshold value. The hypothetical starting value of $100.00 for each underlier has been chosen for illustrative purposes only and does not represent the actual starting value for any underlier. The actual starting value and coupon threshold value for each underlier will be determined on the pricing date and will be set forth under “Terms of the Securities” above. For historical data regarding the actual closing values of the underliers, see the historical information provided herein. These examples are for purposes of illustration only and the values used in the examples may have been rounded for ease of analysis.

Example 1 – Hypothetical Calculation Day #1. The closing value of the lowest performing underlier on hypothetical calculation day #1 is greater than or equal to its coupon threshold value and less than its starting value. As a result, investors receive a contingent coupon payment on the applicable contingent coupon payment date and the securities are not automatically called.

 

 

Common Stock of Microsoft Corporation

Common Stock of Apple Inc.

SPDR® Gold Trust

Hypothetical starting value:

$100.00

$100.00

$100.00

Hypothetical closing value on relevant calculation day:

$90.00

$85.00

$80.00

Hypothetical coupon threshold value:

$50.00

$50.00

$50.00

Performance factor (closing value on calculation day divided by starting value):

90.00%

85.00%

80.00%

Step 1: Determine which underlier is the lowest performing underlier on hypothetical calculation day #1.

In this example, the SPDR® Gold Trust has the lowest performance factor and is, therefore, the lowest performing underlier on hypothetical calculation day #1.

Step 2: Determine whether a contingent coupon payment will be paid and whether the securities will be automatically called on the applicable contingent coupon payment date.

Since the hypothetical closing value of the lowest performing underlier on hypothetical calculation day #1 is greater than or equal to its coupon threshold value, but less than its starting value, you would receive a contingent coupon payment of $6.875 per security on the applicable contingent coupon payment date and the securities would not be automatically called.

PS-21

 


Market Linked Securities—Auto-Callable with Contingent Coupon with Memory Feature and Contingent Downside

Principal at Risk Securities Linked to the Lowest Performing of the Common Stock of Microsoft Corporation, the Common Stock of Apple Inc. and the SPDR® Gold Trust due March 14, 2029

 

Example 2 - Hypothetical Calculation Day #2. The closing value of the lowest performing underlier on hypothetical calculation day #2 is less than its coupon threshold value. As a result, investors do not receive a contingent coupon payment on the applicable contingent coupon payment date and the securities are not automatically called.

 

Common Stock of Microsoft Corporation

Common Stock of Apple Inc.

SPDR® Gold Trust

Hypothetical starting value:

$100.00

$100.00

$100.00

Hypothetical closing value on relevant calculation day:

$45.00

$75.00

$105.00

Hypothetical coupon threshold value:

$50.00

$50.00

$50.00

Performance factor (closing value on calculation day divided by starting value):

45.00%

75.00%

105.00%

Step 1: Determine which underlier is the lowest performing underlier on hypothetical calculation day #2.

In this example, the common stock of Microsoft Corporation has the lowest performance factor and is, therefore, the lowest performing underlier on hypothetical calculation day #2.

Step 2: Determine whether a contingent coupon payment will be paid and whether the securities will be automatically called on the applicable contingent coupon payment date.

Since the hypothetical closing value of the lowest performing underlier on hypothetical calculation day #2 is less than its coupon threshold value, you would not receive a contingent coupon payment on the applicable contingent coupon payment date. In addition, the securities would not be automatically called, even though the closing value of the better performing underlier on the relevant calculation day is greater than its starting value. As this example illustrates, whether you receive a contingent coupon payment and whether the securities are automatically called on a contingent coupon payment date will depend solely on the closing value of the lowest performing underlier on the relevant calculation day. The performance of the better performing underlier is not relevant to your return on the securities.

 

Example 3 - Hypothetical Calculation Day #3. The closing value of the lowest performing underlier on hypothetical calculation day #3 is greater than or equal to its starting value. As a result, the securities are automatically called on the applicable contingent coupon payment date for the face amount plus a final contingent coupon payment (plus the previously unpaid contingent coupon payment).

 

 

Common Stock of Microsoft Corporation

Common Stock of Apple Inc.

SPDR® Gold Trust

Hypothetical starting value:

$100.00

$100.00

$100.00

Hypothetical closing value on relevant calculation day:

$120.00

$115.00

$130.00

Hypothetical coupon threshold value:

$50.00

$50.00

$50.00

Performance factor (closing value on calculation day divided by starting value):

120.00%

115.00%

130.00%

Step 1: Determine which underlier is the lowest performing underlier on hypothetical calculation day #3.

In this example, the common stock of Apple Inc. has the lowest performance factor and is, therefore, the lowest performing underlier on the relevant calculation day.

Step 2: Determine whether a contingent coupon payment will be paid and whether the securities will be automatically called on the applicable contingent coupon payment date.

Since the hypothetical closing value of the lowest performing underlier on hypothetical calculation day #3 is greater than or equal to its starting value, the securities would be automatically called and you would receive the face amount plus a final contingent coupon payment and the previously unpaid contingent coupon payment. Because no contingent coupon payment was received in connection with hypothetical calculation day #2, you would also receive the previously unpaid contingent coupon payment on the applicable contingent coupon payment date, which is also referred to as the call settlement date. On the call settlement date, you would receive $1,013.75 per security.

 

You will not receive any further payments after the call settlement date.

PS-22

 


Market Linked Securities—Auto-Callable with Contingent Coupon with Memory Feature and Contingent Downside

Principal at Risk Securities Linked to the Lowest Performing of the Common Stock of Microsoft Corporation, the Common Stock of Apple Inc. and the SPDR® Gold Trust due March 14, 2029

 

 

Hypothetical Payment at Stated Maturity

Set forth below are examples of calculations of the maturity payment amount payable at stated maturity, assuming that the securities have not been automatically called prior to stated maturity and assuming the hypothetical starting value, coupon threshold value, downside threshold value and ending values for each underlier indicated in the examples. The terms used for purposes of these hypothetical examples do not represent any actual starting value, coupon threshold value or downside threshold value. The hypothetical starting value of $100.00 for each underlier has been chosen for illustrative purposes only and does not represent the actual starting value for any underlier. The actual starting value, coupon threshold value and downside threshold value for each underlier will be determined on the pricing date and will be set forth under “Terms of the Securities” above. For historical data regarding the actual closing values of the underliers, see the historical information provided herein. These examples are for purposes of illustration only and the values used in the examples may have been rounded for ease of analysis.

Example 1. The ending value of the lowest performing underlier on the final calculation day is greater than its starting value, the maturity payment amount is equal to the face amount of your securities at maturity and you receive a final contingent coupon payment (plus any previously unpaid contingent coupon payments):

 

 

Common Stock of Microsoft Corporation

Common Stock of Apple Inc.

SPDR® Gold Trust

Hypothetical starting value:

$100.00

$100.00

$100.00

Hypothetical ending value:

$130.00

$145.00

$125.00

Hypothetical coupon threshold value:

$50.00

$50.00

$50.00

Hypothetical downside threshold value:

$50.00

$50.00

$50.00

Performance factor (ending value divided by starting value):

130.00%

145.00%

125.00%

Step 1: Determine which underlier is the lowest performing underlier on the final calculation day.

In this example, the SPDR® Gold Trust has the lowest performance factor and is, therefore, the lowest performing underlier on the final calculation day.

Step 2: Determine the maturity payment amount based on the ending value of the lowest performing underlier on the final calculation day.

Since the hypothetical ending value of the lowest performing underlier on the final calculation day is greater than its downside threshold value, the maturity payment amount would equal the face amount. Although the hypothetical ending value of the lowest performing underlier on the final calculation day is significantly greater than its hypothetical starting value in this scenario, the maturity payment amount will not exceed the face amount.

In addition to any contingent coupon payments received during the term of the securities, on the stated maturity date you would receive $1,000 per security. In addition, because the hypothetical ending value of the lowest performing underlier on the final calculation day is greater than its coupon threshold value, you would receive a final contingent coupon payment (plus any previously unpaid contingent coupon payments) on the stated maturity date.

PS-23

 


Market Linked Securities—Auto-Callable with Contingent Coupon with Memory Feature and Contingent Downside

Principal at Risk Securities Linked to the Lowest Performing of the Common Stock of Microsoft Corporation, the Common Stock of Apple Inc. and the SPDR® Gold Trust due March 14, 2029

 

Example 2. The ending value of the lowest performing underlier on the final calculation day is less than its starting value but greater than its downside threshold value and its coupon threshold value, the maturity payment amount is equal to the face amount of your securities at maturity and you receive a final contingent coupon payment (plus any previously unpaid contingent coupon payments):

 

Common Stock of Microsoft Corporation

Common Stock of Apple Inc.

SPDR® Gold Trust

Hypothetical starting value:

$100.00

$100.00

$100.00

Hypothetical ending value:

$115.00

$90.00

$110.00

Hypothetical coupon threshold value:

$50.00

$50.00

$50.00

Hypothetical downside threshold value:

$50.00

$50.00

$50.00

Performance factor (ending value divided by starting value):

115.00%

90.00%

110.00%

Step 1: Determine which underlier is the lowest performing underlier on the final calculation day.

In this example, the common stock of Apple Inc. has the lowest performance factor and is, therefore, the lowest performing underlier on the final calculation day.

Step 2: Determine the maturity payment amount based on the ending value of the lowest performing underlier on the final calculation day.

Since the hypothetical ending value of the lowest performing underlier is less than its hypothetical starting value, but greater than its downside threshold value, you would receive the face amount of your securities at maturity.

In addition to any contingent coupon payments received during the term of the securities, on the stated maturity date you would receive $1,000 per security. In addition, because the hypothetical ending value of the lowest performing underlier on the final calculation day is greater than its coupon threshold value, you would receive a final contingent coupon payment (plus any previously unpaid contingent coupon payments) on the stated maturity date.

PS-24

 


Market Linked Securities—Auto-Callable with Contingent Coupon with Memory Feature and Contingent Downside

Principal at Risk Securities Linked to the Lowest Performing of the Common Stock of Microsoft Corporation, the Common Stock of Apple Inc. and the SPDR® Gold Trust due March 14, 2029

 

Example 3. The ending value of the lowest performing underlier on the final calculation day is less than its downside threshold value, the maturity payment amount is less than the face amount of your securities at maturity and you do not receive a final contingent coupon payment or any previously unpaid contingent coupon payments:

 

 

Common Stock of Microsoft Corporation

Common Stock of Apple Inc.

SPDR® Gold Trust

Hypothetical starting value:

$100.00

$100.00

$100.00

Hypothetical ending value:

$90.00

$120.00

$45.00

Hypothetical coupon threshold value:

$50.00

$50.00

$50.00

Hypothetical downside threshold value:

$50.00

$50.00

$50.00

Performance factor (ending value divided by starting value):

90.00%

120.00%

45.00%

Step 1: Determine which underlier is the lowest performing underlier on the final calculation day.

In this example, the SPDR® Gold Trust has the lowest performance factor and is, therefore, the lowest performing underlier on the final calculation day.

Step 2: Determine the maturity payment amount based on the ending value of the lowest performing underlier on the final calculation day.

Since the hypothetical ending value of the lowest performing underlier on the final calculation day is less than its downside threshold value, you would lose a portion of the face amount of your securities and receive the maturity payment amount equal to $450.00 per security, calculated as follows:

= $1,000 × performance factor of the lowest performing underlier on the final calculation day

= $1,000 × 45.00%

= $450.00

In addition to any contingent coupon payments received during the term of the securities, on the stated maturity date you would receive $450.00 per security. Because the hypothetical ending value of the lowest performing underlier on the final calculation day is less than its coupon threshold value, you would not receive a final contingent coupon payment or any previously unpaid contingent coupon payments on the stated maturity date.

These examples illustrate that you will not participate in any appreciation of any underlier, but will be fully exposed to a decrease in the lowest performing underlier if the ending value of the lowest performing underlier on the final calculation day is less than its downside threshold value, even if the ending value of the other underliers have appreciated or have not declined below their downside threshold values.

To the extent that the starting value, coupon threshold value, downside threshold value and ending value of the lowest performing underlier differ from the values assumed above, the results indicated above would be different.

PS-25

 


Market Linked Securities—Auto-Callable with Contingent Coupon with Memory Feature and Contingent Downside

Principal at Risk Securities Linked to the Lowest Performing of the Common Stock of Microsoft Corporation, the Common Stock of Apple Inc. and the SPDR® Gold Trust due March 14, 2029

 

 

 

Microsoft Corporation

According to publicly available information, Microsoft Corporation is a technology company. Information filed with the SEC by the underlying stock issuer under the Exchange Act can be located by referencing its SEC file number 001-37845.

Where Information About the Underlying Stock Issuer Can Be Obtained

The underlying stock is registered under the Securities Exchange Act of 1934. Companies with securities registered under the Exchange Act are required to file financial and other information specified by the U.S. Securities and Exchange Commission (“SEC”) periodically. Information filed by the underlying stock issuer with the SEC electronically can be reviewed through a website maintained by the SEC. The address of the SEC’s website is sec.gov.

Information about the underlying stock issuer may also be obtained from other sources such as press releases, newspaper articles and other publicly available documents.

We do not make any representation or warranty as to the accuracy or completeness of any materials referred to above, including any filings made by the underlying stock issuer with the SEC.

We Obtained the Information About the Underlying Stock Issuer From the Underlying Stock Issuer’s Public Filings

This pricing supplement relates only to your security and does not relate to the underlying stock or other securities of the underlying stock issuer. We have derived all information about the underlying stock issuer in this pricing supplement from the publicly available information referred to in the preceding subsection. We have not participated in the preparation of any of those documents or made any “due diligence” investigation or inquiry with respect to the underlying stock issuer in connection with the offering of your security. Furthermore, we do not know whether all events occurring before the date of this pricing supplement - including events that would affect the accuracy or completeness of the publicly available documents referred to above and the trading price of shares of the underlying stock - have been publicly disclosed. Subsequent disclosure of any events of this kind or the disclosure of or failure to disclose material future events concerning the underlying stock issuer could affect the value you will receive at maturity and, therefore, the market value of your security.

Neither we nor any of our affiliates make any representation to you as to the performance of the underlying stock.

We or any of our affiliates may currently or from time to time engage in business with the underlying stock issuer, including making loans to or equity investments in the underlying stock issuer or providing advisory services to the underlying stock issuer, including merger and acquisition advisory services. In the course of that business, we or any of our affiliates may acquire non-public information about the underlying stock issuer and, in addition, one or more of our affiliates may publish research reports about the underlying stock issuer. As an investor in a security, you should undertake such independent investigation of the underlying stock issuer as in your judgment is appropriate to make an informed decision with respect to an investment in a security.

 

PS-26

 


Market Linked Securities—Auto-Callable with Contingent Coupon with Memory Feature and Contingent Downside

Principal at Risk Securities Linked to the Lowest Performing of the Common Stock of Microsoft Corporation, the Common Stock of Apple Inc. and the SPDR® Gold Trust due March 14, 2029

 

Historical Information

The closing price of the underlier has fluctuated in the past and may, in the future, experience significant fluctuations. In particular, the underlier has recently experienced extreme and unusual volatility. Any historical upward or downward trend in the closing price of the underlier during the period shown below is not an indication that the underlier is more or less likely to increase or decrease at any time during the life of your securities.

You should not take the historical prices of the underlier as an indication of the future performance of the underlier, including because of the recent volatility described above. We cannot give you any assurance that the future performance of the underlier will result in you receiving any contingent coupon payments or receiving the outstanding face amount of your securities on the stated maturity date.

Neither we nor any of our affiliates make any representation to you as to the performance of the underlier. Before investing in the offered securities, you should consult publicly available information to determine the prices of the underlier between the date of this pricing supplement and the date of your purchase of the offered securities and, given the recent volatility described above, you should pay particular attention to recent prices of the underlier. The actual performance of the underlier over the life of the offered securities, as well as the maturity payment amount, may bear little relation to the historical closing prices shown below.

The graph below shows the daily historical closing prices of the underlier from January 1, 2021 through February 19, 2026. As a result, the following graph does not reflect the global financial crisis which began in 2008, which had a materially negative impact on the price of most equity securities. We obtained the closing prices of the underlier in the graph below from Bloomberg Financial Services, without independent verification.

 

Historical Performance of Microsoft Corporation

img257897739_3.jpg

 

PS-27

 


Market Linked Securities—Auto-Callable with Contingent Coupon with Memory Feature and Contingent Downside

Principal at Risk Securities Linked to the Lowest Performing of the Common Stock of Microsoft Corporation, the Common Stock of Apple Inc. and the SPDR® Gold Trust due March 14, 2029

 

Apple Inc.

According to publicly available information, Apple Inc. designs, manufactures and markets smartphones, personal computers, tablets, wearables and accessories, and sells a variety of related services. Information filed with the SEC by the underlying stock issuer under the Exchange Act can be located by referencing its SEC file number 001-36743.

Where Information About the Underlying Stock Issuer Can Be Obtained

The underlying stock is registered under the Securities Exchange Act of 1934. Companies with securities registered under the Exchange Act are required to file financial and other information specified by the U.S. Securities and Exchange Commission (“SEC”) periodically. Information filed by the underlying stock issuer with the SEC electronically can be reviewed through a website maintained by the SEC. The address of the SEC’s website is sec.gov.

Information about the underlying stock issuer may also be obtained from other sources such as press releases, newspaper articles and other publicly available documents.

We do not make any representation or warranty as to the accuracy or completeness of any materials referred to above, including any filings made by the underlying stock issuer with the SEC.

We Obtained the Information About the Underlying Stock Issuer From the Underlying Stock Issuer’s Public Filings

This pricing supplement relates only to your security and does not relate to the underlying stock or other securities of the underlying stock issuer. We have derived all information about the underlying stock issuer in this pricing supplement from the publicly available information referred to in the preceding subsection. We have not participated in the preparation of any of those documents or made any “due diligence” investigation or inquiry with respect to the underlying stock issuer in connection with the offering of your security. Furthermore, we do not know whether all events occurring before the date of this pricing supplement - including events that would affect the accuracy or completeness of the publicly available documents referred to above and the trading price of shares of the underlying stock - have been publicly disclosed. Subsequent disclosure of any events of this kind or the disclosure of or failure to disclose material future events concerning the underlying stock issuer could affect the value you will receive at maturity and, therefore, the market value of your security.

Neither we nor any of our affiliates make any representation to you as to the performance of the underlying stock.

We or any of our affiliates may currently or from time to time engage in business with the underlying stock issuer, including making loans to or equity investments in the underlying stock issuer or providing advisory services to the underlying stock issuer, including merger and acquisition advisory services. In the course of that business, we or any of our affiliates may acquire non-public information about the underlying stock issuer and, in addition, one or more of our affiliates may publish research reports about the underlying stock issuer. As an investor in a security, you should undertake such independent investigation of the underlying stock issuer as in your judgment is appropriate to make an informed decision with respect to an investment in a security.

PS-28

 


Market Linked Securities—Auto-Callable with Contingent Coupon with Memory Feature and Contingent Downside

Principal at Risk Securities Linked to the Lowest Performing of the Common Stock of Microsoft Corporation, the Common Stock of Apple Inc. and the SPDR® Gold Trust due March 14, 2029

 

Historical Information

The closing price of the underlier has fluctuated in the past and may, in the future, experience significant fluctuations. In particular, the underlier has recently experienced extreme and unusual volatility. Any historical upward or downward trend in the closing price of the underlier during the period shown below is not an indication that the underlier is more or less likely to increase or decrease at any time during the life of your securities.

You should not take the historical prices of the underlier as an indication of the future performance of the underlier, including because of the recent volatility described above. We cannot give you any assurance that the future performance of the underlier will result in you receiving any contingent coupon payments or receiving the outstanding face amount of your securities on the stated maturity date.

Neither we nor any of our affiliates make any representation to you as to the performance of the underlier. Before investing in the offered securities, you should consult publicly available information to determine the prices of the underlier between the date of this pricing supplement and the date of your purchase of the offered securities and, given the recent volatility described above, you should pay particular attention to recent prices of the underlier. The actual performance of the underlier over the life of the offered securities, as well as the maturity payment amount, may bear little relation to the historical closing prices shown below.

The graph below shows the daily historical closing prices of the underlier from January 1, 2021 through February 19, 2026. As a result, the following graph does not reflect the global financial crisis which began in 2008, which had a materially negative impact on the price of most equity securities. We obtained the closing prices of the underlier in the graph below from Bloomberg Financial Services, without independent verification.

 

Historical Performance of Apple Inc.

img257897739_4.jpg

PS-29

 


Market Linked Securities—Auto-Callable with Contingent Coupon with Memory Feature and Contingent Downside

Principal at Risk Securities Linked to the Lowest Performing of the Common Stock of Microsoft Corporation, the Common Stock of Apple Inc. and the SPDR® Gold Trust due March 14, 2029

 

The SPDR® Gold Trust

The SPDR® Gold Trust (the “trust”) issues shares (the “shares”) representing units of fractional undivided beneficial interest in and ownership of the trust.

The purpose of the trust is to hold gold bars and, from time to time, issue shares in exchange for deposits of gold and distribute gold in connection with redemptions of shares. The trust seeks to reflect the performance of the price of gold bullion, less the expenses of the trust’s operations. The shares are designed to be a cost-effective and convenient way to invest in gold.
The trust’s trustee is BNY Mellon Asset Servicing, a division of The Bank of New York Mellon
The shares trade under the ticker symbol “GLD” on the NYSE Arca.
The trust’s SEC CIK Number is 0001222333.
The trust’s inception date was November 12, 2004.

Where Information About the Trust Can Be Obtained

Information filed by the trust with the U.S. Securities and Exchange Commission (“SEC”) electronically can be reviewed through a website maintained by the SEC. The address of the SEC’s website is sec.gov. Information filed with the SEC by the trust, including its reports to shareholders, can be located by referencing its CIK number referred to above. In addition, information regarding the trust (including its fees) may be obtained from other sources including, but not limited to, press releases, newspaper articles, other publicly available documents, and the trust’s website. We are not incorporating by reference the website, the sources listed above or any material they include in this pricing supplement.

We do not make any representation or warranty as to the accuracy or completeness of any materials referred to above, including any filings made by the trust with the SEC.

We Obtained the Information About the Trust From the Trust’s Publicly Available Information

This pricing supplement relates only to your security and does not relate to the trust. We have derived all information about the trust in this pricing supplement from the publicly available information referred to in the preceding subsection. We have not participated in the preparation of any of those documents or made any “due diligence” investigation or inquiry with respect to the trust in connection with the offering of your security. Furthermore, we do not know whether all events occurring before the date of this pricing supplement — including events that would affect the accuracy or completeness of the publicly available documents referred to above and the trading price of shares of the trust — have been publicly disclosed. Subsequent disclosure of any events of this kind or the disclosure of or failure to disclose material future events concerning the trust could affect the value you will receive at maturity and, therefore, the market value of your security.

Neither we nor any of our affiliates make any representation to you as to the performance of the trust.

We or any of our affiliates may currently or from time to time engage in business with the trust, including making loans to or equity investments in the trust or providing advisory services to the trust, including merger and acquisition advisory services. In the course of that business, we or any of our affiliates may acquire non-public information about the trust and, in addition, one or more of our affiliates may publish research reports about the trust. As an investor in a security, you should undertake such independent investigation of the trust as in your judgment is appropriate to make an informed decision with respect to an investment in a security.

PS-30

 


Market Linked Securities—Auto-Callable with Contingent Coupon with Memory Feature and Contingent Downside

Principal at Risk Securities Linked to the Lowest Performing of the Common Stock of Microsoft Corporation, the Common Stock of Apple Inc. and the SPDR® Gold Trust due March 14, 2029

 

Historical Information

The closing price of the underlier has fluctuated in the past and may, in the future, experience significant fluctuations. In particular, the underlier has recently experienced extreme and unusual volatility. Any historical upward or downward trend in the closing price of the underlier during the period shown below is not an indication that the underlier is more or less likely to increase or decrease at any time during the life of your securities.

You should not take the historical prices of the underlier as an indication of the future performance of the underlier, including because of the recent volatility described above. We cannot give you any assurance that the future performance of the underlier will result in you receiving any contingent coupon payments or receiving the outstanding face amount of your securities on the stated maturity date.

Neither we nor any of our affiliates make any representation to you as to the performance of the underlier. Before investing in the offered securities, you should consult publicly available information to determine the prices of the underlier between the date of this pricing supplement and the date of your purchase of the offered securities and, given the recent volatility described above, you should pay particular attention to recent prices of the underlier. The actual performance of the underlier over the life of the offered securities, as well as the maturity payment amount, may bear little relation to the historical closing prices shown below.

The graph below shows the daily historical closing prices of the underlier from January 1, 2021 through February 19, 2026. As a result, the following graph does not reflect the global financial crisis which began in 2008, which had a materially negative impact on the price of most commodities and, as a result, the price of most commodity ETFs. We obtained the closing prices of the underlier in the graph below from Bloomberg Financial Services, without independent verification.

Historical Performance of the SPDR® Gold Trust

img257897739_5.jpg

PS-31

 


Market Linked Securities—Auto-Callable with Contingent Coupon with Memory Feature and Contingent Downside

Principal at Risk Securities Linked to the Lowest Performing of the Common Stock of Microsoft Corporation, the Common Stock of Apple Inc. and the SPDR® Gold Trust due March 14, 2029

 

 

Supplemental Discussion of U.S. Federal Income Tax Considerations

The following section supplements, and to the extent inconsistent therewith supersedes, the discussion of U.S. federal income taxation in the accompanying prospectus.

The following section is the opinion of Sidley Austin LLP, counsel to GS Finance Corp. and The Goldman Sachs Group, Inc. In addition, it is the opinion of Sidley Austin LLP that the characterization of the securities for U.S. federal income tax purposes that will be required under the terms of the securities, as discussed below, is a reasonable interpretation of current law.

This section does not apply to you if you are a member of a class of holders subject to special rules, such as:

a dealer in securities or currencies;
a trader in securities that elects to use a mark-to-market method of accounting for your securities holdings;
a bank;
a life insurance company;
a tax exempt organization;
a partnership;
a regulated investment company;
an accrual method taxpayer subject to special tax accounting rules as a result of its use of financial statements;
a person that owns a security as a hedge or that is hedged against interest rate risks;
a person that owns a security as part of a straddle or conversion transaction for tax purposes; or
a United States holder (as defined below) whose functional currency for tax purposes is not the U.S. dollar.

Although this section is based on the U.S. Internal Revenue Code of 1986, as amended, its legislative history, existing and proposed regulations under the Internal Revenue Code, published rulings and court decisions, all as currently in effect, no statutory, judicial or administrative authority directly addresses how your securities should be treated for U.S. federal income tax purposes, and as a result, the U.S. federal income tax consequences of your investment in your securities are uncertain. Moreover, these laws are subject to change, possibly on a retroactive basis.

You should consult your tax advisor concerning the U.S. federal income tax and any other applicable tax consequences of your investments in the securities, including the application of state, local or other tax laws and the possible effects of changes in federal or other tax laws.

 

United States Holders

This section applies to you only if you are a United States holder that holds your securities as a capital asset for tax purposes. You are a United States holder if you are a beneficial owner of each of your securities and you are:

a citizen or resident of the United States;
a domestic corporation;
an estate whose income is subject to U.S. federal income tax regardless of its source; or
a trust if a United States court can exercise primary supervision over the trust’s administration and one or more United States persons are authorized to control all substantial decisions of the trust.

Tax Treatment. By purchasing the securities you agree— in the absence of a change in law, an administrative determination or a judicial ruling to the contrary — to characterize your securities for all tax purposes as income-bearing pre-paid derivative contracts in respect of the underliers. Except as otherwise stated below, the discussion herein assumes that the securities will be so treated.

Coupon payments that you receive should be included in ordinary income at the time you receive the payment or when the payment accrues, in accordance with your regular method of accounting for U.S. federal income tax purposes.

Upon the sale, exchange, redemption or maturity of your securities, you should recognize capital gain or loss equal to the difference, if any, between the amount of cash you receive at such time (excluding any amounts attributable to accrued and unpaid coupon payments, which will be taxable as described above) and your tax basis in your securities. Your tax basis in the securities will generally be equal to the amount that you paid for the securities. If you hold your securities for more than one year, the gain or loss generally will be long-term capital gain or loss. If you hold your securities for one year or less, the gain or loss generally will be short-term capital gain or loss. Short-term capital gains are generally subject to tax at the marginal tax rates applicable to ordinary income.

We will not attempt to ascertain whether any of the underlying stock issuers would be treated as a “passive foreign investment company” (“PFIC”), within the meaning of Section 1297 of the Internal Revenue Code. If any of the underlying stock issuers were so

PS-32

 


Market Linked Securities—Auto-Callable with Contingent Coupon with Memory Feature and Contingent Downside

Principal at Risk Securities Linked to the Lowest Performing of the Common Stock of Microsoft Corporation, the Common Stock of Apple Inc. and the SPDR® Gold Trust due March 14, 2029

 

treated, certain adverse U.S. federal income tax consequences could possibly apply to a United States holder. You should refer to information filed with the SEC with respect to the underlying stock issuers and consult your tax advisor regarding the possible consequences to you, if any, if any of the underlying stock issuers are or become a PFIC.

In addition, the constructive ownership rules of Section 1260 of the Internal Revenue Code could possibly apply to all or a portion of your securities. If all or a portion of your securities were subject to the constructive ownership rules, then all or a portion of any long-term capital gain that you realize upon the sale, exchange, redemption or maturity of your securities would be re-characterized as ordinary income (and you would be subject to an interest charge on deferred tax liability with respect to such re-characterized capital gain) to the extent that such capital gain exceeds the amount of “net underlying long-term capital gain” (as defined in Section 1260 of the Internal Revenue Code). Because the application of the constructive ownership rules is unclear you are strongly urged to consult your tax advisor with respect to the possible application of the constructive ownership rules to your investment in the securities.

No statutory, judicial or administrative authority directly discusses how your securities should be treated for U.S. federal income tax purposes. As a result, the U.S. federal income tax consequences of your investment in the securities are uncertain and alternative characterizations are possible. Accordingly, we urge you to consult your tax advisor in determining the tax consequences of an investment in your securities in your particular circumstances, including the application of state, local or other tax laws and the possible effects of changes in federal or other tax laws.

Alternative Treatments. There is no judicial or administrative authority discussing how your securities should be treated for U.S. federal income tax purposes. Therefore, the Internal Revenue Service might assert that a treatment other than that described above is more appropriate. For example, the Internal Revenue Service could treat your securities as a single debt instrument subject to special rules governing contingent payment debt instruments. Under those rules, the amount of interest you are required to take into account for each accrual period would be determined by constructing a projected payment schedule for the securities and applying rules similar to those for accruing original issue discount on a hypothetical noncontingent debt instrument with that projected payment schedule. This method is applied by first determining the comparable yield – i.e., the yield at which we would issue a noncontingent fixed rate debt instrument with terms and conditions similar to your securities – and then determining a payment schedule as of the issue date that would produce the comparable yield. These rules may have the effect of requiring you to include interest in income in respect of your securities prior to your receipt of cash attributable to that income.

If the rules governing contingent payment debt instruments apply, any gain you recognize upon the sale, exchange, redemption or maturity of your securities would be treated as ordinary interest income. Any loss you recognize at that time would be treated as ordinary loss to the extent of interest you included as income in the current or previous taxable years in respect of your securities, and, thereafter, as capital loss.

If the rules governing contingent payment debt instruments apply, special rules would apply to a person who purchases securities at a price other than the adjusted issue price as determined for tax purposes.

It is possible that the Internal Revenue Service could assert that your securities should generally be characterized as described above, except that (1) the gain you recognize upon the sale, exchange, redemption or maturity of your securities should be treated as ordinary income or (2) you should not include the coupon payments in income as you receive them but instead you should reduce your basis in your securities by the amount of coupon payments that you receive. It is also possible that the Internal Revenue Service could seek to characterize your securities in a manner that results in tax consequences to you different from those described above.

It is also possible that the Internal Revenue Service could assert that your securities should be treated as giving rise to “collectibles” gain or loss if you have held your securities for more than one year, although we do not think such a treatment would be appropriate in this case because a sale or exchange of the securities is not a sale or exchange of a collectible but is rather a sale or exchange of a derivative contract that reflects, through the SPDR® Gold Trust, the value of collectibles. “Collectibles” gain is currently subject to tax at marginal rates of up to 28%.

It is also possible that the Internal Revenue Service could seek to characterize your securities as notional principal contracts. It is also possible that the coupon payments would not be treated as either ordinary income or interest for U.S. federal income tax purposes, but instead would be treated in some other manner.

You should consult your tax advisor as to possible alternative characterizations of your securities for U.S. federal income tax purposes.

Possible Change in Law

On December 7, 2007, the Internal Revenue Service released a notice stating that the Internal Revenue Service and the Treasury Department are actively considering issuing guidance regarding the proper U.S. federal income tax treatment of instruments such as the offered securities, including whether holders should be required to accrue ordinary income on a current basis and whether gain or loss should be ordinary or capital. It is not possible to determine what guidance they will ultimately issue, if any. It is possible, however, that under such guidance, holders of the securities will ultimately be required to accrue income currently and this could be applied on a retroactive basis. The Internal Revenue Service and the Treasury Department are also considering other relevant issues, including whether foreign holders of such instruments should be subject to withholding tax on any deemed income accruals and whether the special “constructive ownership rules” of Section 1260 of the Internal Revenue Code might be applied to such instruments. Except to the extent otherwise provided by law, we intend to continue treating the securities for U.S. federal income tax purposes in accordance with the treatment described above under “Tax Treatment” unless and until such time as Congress, the Treasury Department or the Internal Revenue Service determines that some other treatment is more appropriate.

PS-33

 


Market Linked Securities—Auto-Callable with Contingent Coupon with Memory Feature and Contingent Downside

Principal at Risk Securities Linked to the Lowest Performing of the Common Stock of Microsoft Corporation, the Common Stock of Apple Inc. and the SPDR® Gold Trust due March 14, 2029

 

Furthermore, in 2007, legislation was introduced in Congress that, if enacted, would have required holders that acquired instruments such as your securities after the bill was enacted to accrue interest income over the term of such instruments even though there may be no interest payments over the term of such instruments. It is not possible to predict whether a similar or identical bill will be enacted in the future, or whether any such bill would affect the tax treatment of your securities.

It is impossible to predict what any such legislation or administrative or regulatory guidance might provide, and whether the effective date of any legislation or guidance will affect securities that were issued before the date that such legislation or guidance is issued. You are urged to consult your tax advisor as to the possibility that any legislative or administrative action may adversely affect the tax treatment of your securities.

Backup Withholding and Information Reporting

You will be subject to generally applicable information reporting and backup withholding requirements as discussed in the accompanying prospectus under “United States Taxation — Taxation of Debt Securities — Backup Withholding and Information Reporting — United States Holders” with respect to payments on your securities and, notwithstanding that we do not intend to treat the securities as debt for tax purposes, we intend to backup withhold on such payments with respect to your securities unless you comply with the requirements necessary to avoid backup withholding on debt instruments (in which case you will not be subject to such backup withholding) as set forth under “United States Taxation — Taxation of Debt Securities — United States Holders” in the accompanying prospectus. Please see the discussion under “United States Taxation — Taxation of Debt Securities — Backup Withholding and Information Reporting—United States Holders” in the accompanying prospectus for a description of the applicability of the backup withholding and information reporting rules to payments made on your securities.

Non-United States Holders

This section applies to you only if you are a non-United States holder. You are a non-United States holder if you are the beneficial owner of securities and are, for U.S. federal income tax purposes:

a nonresident alien individual;
a foreign corporation; or
an estate or trust that in either case is not subject to U.S. federal income tax on a net income basis on income or gain from the securities.

Because the U.S. federal income tax treatment (including the applicability of withholding) of the coupon payments on the securities is uncertain, in the absence of further guidance, we intend to withhold on the coupon payments made to you at a 30% rate or at a lower rate specified by an applicable income tax treaty under an “other income” or similar provision. We will not make payments of any additional amounts. To claim a reduced treaty rate for withholding, you generally must provide a valid Internal Revenue Service Form W-8BEN, Internal Revenue Service Form W-8BEN-E, or an acceptable substitute form upon which you certify, under penalty of perjury, your status as a non-United States holder and your entitlement to the lower treaty rate. Payments will be made to you at a reduced treaty rate of withholding only if such reduced treaty rate would apply to any possible characterization of the payments (including, for example, if the coupon payments were characterized as contract fees). Withholding also may not apply to coupon payments made to you if: (i) the coupon payments are “effectively connected” with your conduct of a trade or business in the United States and are includable in your gross income for U.S. federal income tax purposes, (ii) the coupon payments are attributable to a permanent establishment that you maintain in the United States, if required by an applicable tax treaty, and (iii) you comply with the requisite certification requirements (generally, by providing an Internal Revenue Service Form W-8ECI). If you are eligible for a reduced rate of United States withholding tax, you may obtain a refund of any amounts withheld in excess of that rate by timely filing a refund claim with the Internal Revenue Service.

“Effectively connected” payments includable in your United States gross income are generally taxed at rates applicable to United States citizens, resident aliens, and domestic corporations; if you are a corporate non-United States holder, “effectively connected” payments may be subject to an additional “branch profits tax” under certain circumstances.

You will be subject to generally applicable information reporting and backup withholding requirements as discussed in the accompanying prospectus under “United States Taxation — Taxation of Debt Securities — Backup Withholding and Information Reporting — Non-United States Holders” with respect to payments on your securities and, notwithstanding that we do not intend to treat the securities as debt for tax purposes, we intend to backup withhold on such payments with respect to your securities unless you comply with the requirements necessary to avoid backup withholding on debt instruments (in which case you will not be subject to such backup withholding) as set forth under “United States Taxation — Taxation of Debt Securities — Non-United States Holders” in the accompanying prospectus.

As discussed above, alternative characterizations of the securities for U.S. federal income tax purposes are possible. Should an alternative characterization of the securities, by reason of a change or clarification of the law, by regulation or otherwise, cause payments with respect to the securities to become subject to withholding tax, we will withhold tax at the applicable statutory rate and we, or the applicable withholding agent, will not make payments of any additional amounts. Prospective non-United States holders of the securities should consult their tax advisor in this regard.

Furthermore, on December 7, 2007, the Internal Revenue Service released Notice 2008-2 soliciting comments from the public on various issues, including whether instruments such as your securities at maturity or upon redemption should be subject to withholding.

PS-34

 


Market Linked Securities—Auto-Callable with Contingent Coupon with Memory Feature and Contingent Downside

Principal at Risk Securities Linked to the Lowest Performing of the Common Stock of Microsoft Corporation, the Common Stock of Apple Inc. and the SPDR® Gold Trust due March 14, 2029

 

It is therefore possible that rules will be issued in the future, possibly with retroactive effect, that would cause payments on your securities to be subject to withholding, even if you comply with certification requirements as to your foreign status.

We will not attempt to ascertain whether any of the underlying stock issuers would be treated as a “United States real property holding corporation” (“USRPHC”), within the meaning of Section 897 of the Internal Revenue Code. If any of the underlying stock issuers were so treated, certain adverse U.S. federal income tax consequences could possibly apply to a non-United States holder. You should refer to information filed with the SEC with respect to the underlying stock issuers and consult your tax advisor regarding the possible consequences to you, if any, if any of the underlying stock issuers is or becomes a USRPHC.

In addition, the Treasury Department has issued regulations under which amounts paid or deemed paid on certain financial instruments (“871(m) financial instruments”) that are treated as attributable to U.S.-source dividends could be treated, in whole or in part depending on the circumstances, as a “dividend equivalent” payment that is subject to tax at a rate of 30% (or a lower rate under an applicable treaty), which in the case of any coupon payments and any amounts you receive upon the sale, exchange, redemption or maturity of your securities, could be collected via withholding. If these regulations were to apply to the securities, we may be required to withhold such taxes if any U.S.-source dividends are paid on the underliers during the term of the securities. We could also require you to make certifications (e.g., an applicable Internal Revenue Service Form W-8) prior to any coupon payment or the maturity of the securities in order to avoid or minimize withholding obligations, and we could withhold accordingly (subject to your potential right to claim a refund from the Internal Revenue Service) if such certifications were not received or were not satisfactory. If withholding was required, we would not be required to pay any additional amounts with respect to amounts so withheld. These regulations generally will apply to 871(m) financial instruments (or a combination of financial instruments treated as having been entered into in connection with each other) issued (or significantly modified and treated as retired and reissued) on or after January 1, 2027, but will also apply to certain 871(m) financial instruments (or a combination of financial instruments treated as having been entered into in connection with each other) that have a delta (as defined in the applicable Treasury regulations) of one and are issued (or significantly modified and treated as retired and reissued) on or after January 1, 2017. In addition, these regulations will not apply to financial instruments that reference a “qualified index” (as defined in the regulations). We have determined that, as of the issue date of your securities, your securities will not be subject to withholding under these rules. In certain limited circumstances, however, you should be aware that it is possible for non-United States holders to be liable for tax under these rules with respect to a combination of transactions treated as having been entered into in connection with each other even when no withholding is required. You should consult your tax advisor concerning these regulations, subsequent official guidance and regarding any other possible alternative characterizations of your securities for U.S. federal income tax purposes.

Under current law, while the matter is not entirely clear, individual non-United States holders, and entities whose property is potentially includible in those individuals’ gross estates for U.S. federal estate tax purposes (for example, a trust funded by such an individual and with respect to which the individual has retained certain interests or powers), should note that, absent an applicable treaty benefit, a security is likely to be treated as U.S. situs property, subject to U.S. federal estate tax. These individuals and entities should consult their own tax advisors regarding the U.S. federal estate tax consequences of investing in a security.

Foreign Account Tax Compliance Act (FATCA) Withholding

Pursuant to Treasury regulations, Foreign Account Tax Compliance Act (FATCA) withholding (as described in “United States Taxation—Taxation of Debt Securities—Foreign Account Tax Compliance Act (FATCA) Withholding” in the accompanying prospectus) will generally apply to obligations that are issued on or after July 1, 2014; therefore, the securities will generally be subject to the FATCA withholding rules.

PS-35

 


Market Linked Securities—Auto-Callable with Contingent Coupon with Memory Feature and Contingent Downside

Principal at Risk Securities Linked to the Lowest Performing of the Common Stock of Microsoft Corporation, the Common Stock of Apple Inc. and the SPDR® Gold Trust due March 14, 2029

 

 

Supplemental Plan of Distribution; Conflicts of Interest

See “Supplemental Plan of Distribution” on page S-42 of the accompanying product supplement and “Plan of Distribution - Conflicts of Interest” on page 127 of the accompanying prospectus; GS Finance Corp. estimates that its share of the total offering expenses, excluding underwriting discounts and commissions, will be approximately $ .

GS Finance Corp. will sell to GS&Co., and GS&Co. will purchase from GS Finance Corp., the aggregate face amount of the offered securities specified on the front cover of this pricing supplement. GS&Co. proposes initially to offer the securities to the public at the original offering price set forth on the cover page of this pricing supplement. Wells Fargo Securities, LLC (“WFS”) is the agent for the distribution of the securities. WFS will receive the underwriting discount of up to 2.325% of the aggregate face amount of the securities sold (up to $23.25 per $1,000 face amount of securities). The agent may resell the securities to Wells Fargo Advisors (“WFA”) at the original offering price of the securities less a concession of 1.75% of the aggregate face amount of the securities ($17.50 per $1,000 face amount of securities). In addition to the selling concession received by WFA, WFS advises that WFA may also receive out of the underwriting discount a distribution expense fee of 0.075% for each $1,000 face amount of a security WFA sells ($0.75 per $1,000 face amount of securities). In addition, in respect of certain securities sold in this offering, GS&Co. may pay a fee of up to 0.30% of the aggregate face amount of the securities sold (up to $3.00 per $1,000 face amount of securities) to selected securities dealers in consideration for marketing and other services in connection with the distribution of the securities to other securities dealers. Please note that the information about the original issue date and original offering price set forth on the cover of this pricing supplement relate only to the initial distribution.

GS&Co. is an affiliate of GS Finance Corp. and The Goldman Sachs Group, Inc. and, as such, will have a “conflict of interest” in this offering of securities within the meaning of Financial Industry Regulatory Authority, Inc. (FINRA) Rule 5121. Consequently, this offering of securities will be conducted in compliance with the provisions of FINRA Rule 5121. GS&Co. will not be permitted to sell securities in this offering to an account over which it exercises discretionary authority without the prior specific written approval of the account holder. We have been advised that GS&Co. will also pay a fee to iCapital Markets LLC, a broker-dealer in which an affiliate of GS Finance Corp. holds an indirect minority equity interest, for services it is providing in connection with this offering.

We will deliver the securities against payment therefor in New York, New York on the original issue date set forth on the cover page of this pricing supplement. Under Rule 15c6-1 of the Securities Exchange Act of 1934, trades in the secondary market generally are required to settle in one business day, unless the parties to any such trade expressly agree otherwise. Accordingly, purchasers who wish to trade securities on any date prior to one business day before delivery will be required to specify alternative settlement arrangements to prevent a failed settlement.

For information related to hedging activities, see “Risk Factors—Hedging Activities by Goldman Sachs or Our Distributors May Negatively Impact Investors in the Securities and Cause Our Interests and Those of Our Clients and Counterparties to be Contrary to Those of Investors in the Securities.” on page S-10 of the accompanying product supplement.

We have been advised by GS&Co. and WFS that they intend to make a market in the securities. However, none of GS&Co., WFS nor any of their respective affiliates that makes a market is obligated to do so and any of them may stop doing so at any time without notice. No assurance can be given as to the liquidity or trading market for the securities.

PS-36