EX-3.1 2 sscarticlesofcorp7242024.htm EX-3.1 sscarticlesofcorp7242024
Exhibit 3.1


 


 


 


 


 


 


 


 


 


 


 


 


 


 


 


 


 


 


 


 


 


 


 


 


 


 


 


 


 


 


 


 


 


 


 


 


 


 


 


 


 


 


 


 


 


 


 


 


 


 


 


 


 


 


 


 


 


 


 


 


 


 


 


 


 


 


 


 


 


 


 


 


 


 


 


 


 


 


 


 


 


 


 


 


 


 


 


 


 


 


 


 


 


 


 


 


 


 


 


 


 


 


 


 


 


 


 


 


 


 


 


 


 


 


 


 


 


 


 


 


 


 


 


 


 


 


 


 


 


 


 


 


 


 


 


 


 


 


 


 


 


 


 


 


 


 


 


 


 


 


 


 


 


 


 


 


 


 


 


 


 


 


 


 


 


 


 
MA SOC Filing Number: 201532399460 Date: 5/20/2015 12:09:00 PM


 


 


 


 


 


 


 


 


 


 


 


 


 


 


 


 


 
THE COMMONWEALTH OF MASSACHUSETTS I hereby certify that, upon examination of this document, duly submitted to me, it appears that the provisions of the General Laws relative to corporations have been complied with, and I hereby approve said articles; and the filing fee having been paid, said articles are deemed to have been filed with me on: WILLIAM FRANCIS GALVIN Secretary of the Commonwealth May 20, 2015 12:09 PM MA SOC Filing Number: 201532399460 Date: 5/20/2015 12:09:00 PM


 
MA SOC Filing Number: 201679479900 Date: 4/8/2016 12:33:00 PM


 


 


 


 


 


 


 


 


 


 


 


 


 


 


 


 


 
THE COMMONWEALTH OF MASSACHUSETTS I hereby certify that, upon examination of this document, duly submitted to me, it appears that the provisions of the General Laws relative to corporations have been complied with, and I hereby approve said articles; and the filing fee having been paid, said articles are deemed to have been filed with me on: WILLIAM FRANCIS GALVIN Secretary of the Commonwealth April 08, 2016 12:33 PM MA SOC Filing Number: 201679479900 Date: 4/8/2016 12:33:00 PM


 
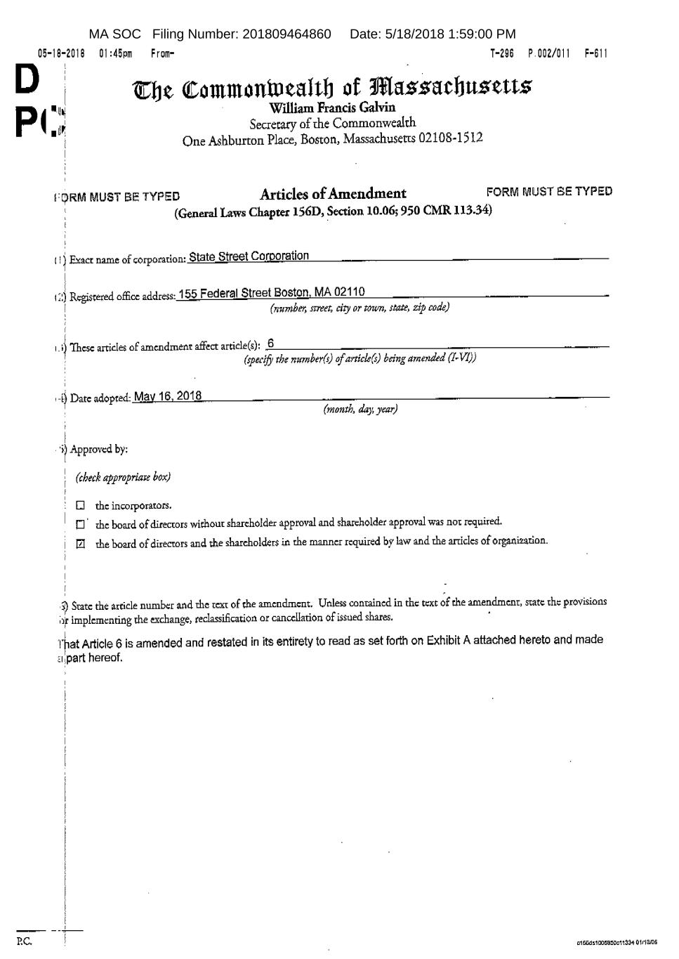
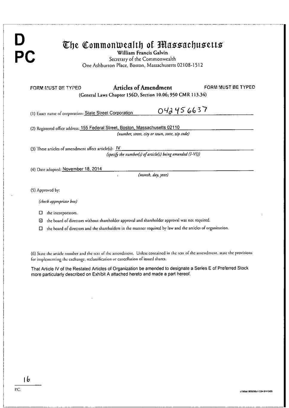
MA SOC Filing Number: 201809464860 Date: 5/18/2018 1:59:00 PM


 


 


 


 


 


 


 


 


 
THE COMMONWEALTH OF MASSACHUSETTS I hereby certify that, upon examination of this document, duly submitted to me, it appears that the provisions of the General Laws relative to corporations have been complied with, and I hereby approve said articles; and the filing fee having been paid, said articles are deemed to have been filed with me on: WILLIAM FRANCIS GALVIN Secretary of the Commonwealth May 18, 2018 01:59 PM MA SOC Filing Number: 201809464860 Date: 5/18/2018 1:59:00 PM


 
MA SOC Filing Number: 201835125360 Date: 9/24/2018 2:49:00 PM


 


 


 


 


 


 


 


 


 


 


 


 


 


 


 


 


 
THE COMMONWEALTH OF MASSACHUSETTS I hereby certify that, upon examination of this document, duly submitted to me, it appears that the provisions of the General Laws relative to corporations have been complied with, and I hereby approve said articles; and the filing fee having been paid, said articles are deemed to have been filed with me on: WILLIAM FRANCIS GALVIN Secretary of the Commonwealth September 24, 2018 02:49 PM MA SOC Filing Number: 201835125360 Date: 9/24/2018 2:49:00 PM


 
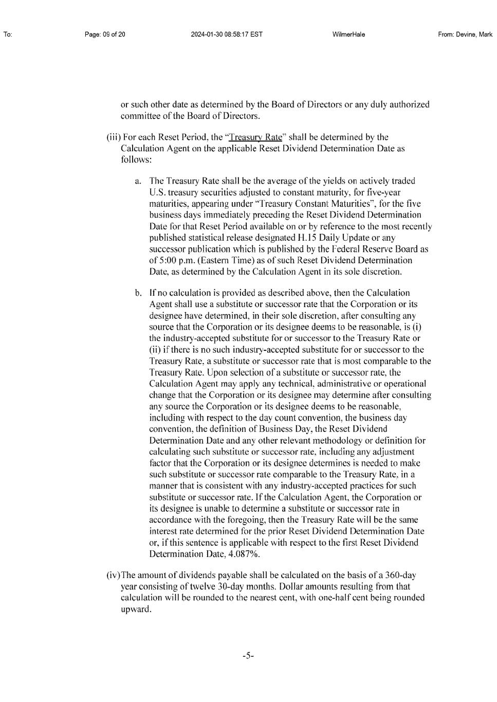
MA SOC Filing Number: 202446009810 Date: 1/30/2024 9:18:11 AM


 


 


 


 


 


 


 


 


 


 


 


 


 


 


 


 


 
THE COMMONWEALTH OF MASSACHUSETTS I hereby certify that, upon examination of this document, duly submitted to me, it appears that the provisions of the General Laws relative to corporations have been complied with, and I hereby approve said articles; and the filing fee having been paid, said articles are deemed to have been filed with me on: WILLIAM FRANCIS GALVIN Secretary of the Commonwealth January 30, 2024 09:18 AM MA SOC Filing Number: 202446009810 Date: 1/30/2024 9:18:11 AM


 
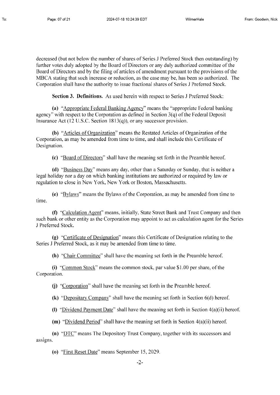
MA SOC Filing Number: 202482415640 Date: 7/18/2024 10:42:32 AM


 


 


 


 


 


 


 


 


 


 


 


 


 


 


 


 


 


 
THE COMMONWEALTH OF MASSACHUSETTS I hereby certify that, upon examination of this document, duly submitted to me, it appears that the provisions of the General Laws relative to corporations have been complied with, and I hereby approve said articles; and the filing fee having been paid, said articles are deemed to have been filed with me on: WILLIAM FRANCIS GALVIN Secretary of the Commonwealth July 18, 2024 10:42 AM MA SOC Filing Number: 202482415640 Date: 7/18/2024 10:42:32 AM